一、最簡單一句話
👉 縮並 = 對「相同 index」做乘法後再「加總」,並消掉這個維度
二、用最直覺例子理解
🔹 例1:向量內積(最簡單的縮並)


👉 發生什麼事?
- index i 重複
- 對 i 求和
- 維度從 1D → 0D(變純量)
👉 ✅ 這就是「縮並」
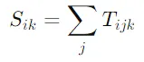
三、矩陣乘法 = 縮並(最重要🔥)

👉 發生什麼:
- k 是共同 index
- 對 k 做求和
- k 被「消掉」
👉 結果:
- 輸出只剩 i,ji, ji,j
👉 本質:
👉 沿著某個方向,把資訊「壓縮」掉
四、再看一個更直覺例子
假設:

你對 j 做縮並:

👉 意思:
- 把「中間那一層」全部加起來
- 維度從 3D → 2D
👉 想像:
👉 把一疊紙「壓扁」成一張
五、規則總結(很重要)
✅ 縮並一定包含:
1️⃣ 找到重複 index
2️⃣ 對該 index 求和
3️⃣ 刪掉該維度
六、和外積對比(一次搞懂)

👉 一句話:
👉 外積 = 展開世界
👉 縮並 = 壓縮世界
七、為什麼縮並這麼重要?
因為:
👉 幾乎所有計算(AI / 物理)都是縮並
例如:
在 PyTorch:
torch.matmul(A, B)
👉 本質就是:
👉 張量縮並
八、更本質(數學角度)
縮並其實是:
👉 把一個張量的兩個 index「配對」,轉成一個較低階張量
👉 或說:
👉 將多維關係「整合」成較少維度
九、超直覺比喻(讓你真的懂)
🎯 外積
👉 把所有人「兩兩配對」
🎯 縮並
👉 把配對結果「加總成一個結論」
十、一句話總結(最精華)
👉 張量縮並 = 對共享維度做乘法並求和,從而降低維度並整合資訊






















