
誰說人少就賺不到錢?姬路城給全球景點上了一課
現在這個年頭,出國旅遊不被當肥羊宰個兩刀,好像都對不起那張機票。但像日本姬路城這樣,直接把鐮刀磨得雪亮、大剌剌掛在城門口「精準收割」的,確實不多見。
姬路城,這座被譽為「日本第一名城」的白鷺城,最近一個月的財務報表簡直比熱門科技股還要亮眼。自從實施「二重價格」制,也就是當地人維持原價、外地遊客(尤其是外國觀光客)門票直接從 1000 日圓噴發到 2500 日圓後,整個旅遊圈都炸開了鍋。那些原本以為漲價會導致遊客集體抵制、城門口羅雀的人,現在可能要揉揉眼睛看清楚現實。根據最新出爐的營運數據,漲價第一個月,入城人數確實減少了約 17% 到 20%。按照一般的商業邏輯,客人跑了兩成,老闆應該要抱頭痛哭。結果呢?姬路市政府看著報表笑出了聲。
收入整整翻了一倍。
這就是經濟學中「價格彈性」的暴力美學。姬路城賭的就是:你都大老遠飛到關西了,會因為門票多那 1500 日圓(大約也就是兩碗拉麵的錢)就轉頭走人嗎?數據告訴我們,大多數人罵歸罵,錢還是照掏。
但這場「收割秀」背後,真的只是因為地方政府想錢想瘋了嗎?
財政黑洞與國寶維護:一場名為「永續」的道德綁架
我們得先幫姬路市政府說句公道話,雖然這句公道話聽起來有點像是在幫地主收租辯護。
姬路城這種木造古蹟,維護成本高到嚇人。想像一下,你家有一棟幾百年的老房子,不能隨便敲打、不能裝潢,連外牆漆個油漆都要請專家研究半天,這每一塊磚頭、每一片瓦片都是吃錢的怪獸。過去那種「千元門票」的佛心價,說穿了是在吃老本。
隨著全球通貨膨脹,日本的建材與人工成本早就漲到天上去了。如果繼續維持舊價位,姬路城大概再過幾年就會從「國寶」變成「地方財政的累棄物」。
於是,這套「二重價格」方案應運而生。它的邏輯非常簡單粗暴:
- 在地市民: 稅金已經上繳給政府了,進城散步是權利,維持 1000 日圓是親民。
- 外地遊客: 你是來消費、來體驗、來拍照發朋友圈的。這座城的維修費,你理所當然要多攤提一點。
這種做法在國際上其實並不罕見,去過東南亞或埃及的人都知道,當地人與外國人的票價差距往往是數倍甚至十倍。但日本過去一直維持著某種「矜持」,覺得開門做生意要一視同仁。現在姬路城帶頭打破這層窗戶紙,背後的訊息很明確:
日本觀光不再追求「量」,而要追求「質」。
如果 80 萬人帶來的收入能超過 100 萬人,而且還能減輕古蹟的物理負荷,那剩下的 20 萬人去哪裡了,管理者根本不在乎。但問題來了,當這種「嫌貧愛富」的定價策略成為常態,下一個跟進的會是誰?是京都的金閣寺,還是東京的晴空塔?
數位轉型下的「溫情陷阱」:18歲以下的免費誘惑
就在大家都在議論 2500 日圓太貴的時候,姬路城又拋出了一個讓人無法反駁的誘餌:18 歲以下入城免費。這招非常高明。它把漲價帶來的負面形象,成功包裝成了「投資下一代」的教育情懷。帶孩子的家長看到大人票價變貴雖然心疼,但想到小孩不用錢,心裡那種補償心理就會平衡許多。
更關鍵的是,姬路城同步推動了「數位門票」系統。這不只是為了方便遊客掃碼進場,更是一場大數據的搜刮。透過數位票券,政府可以精準掌握遊客的國籍、年齡、入城時段,甚至是他們看完城後去了哪間餐廳。這已經不是單純的賣門票,而是在構建一個以姬路城為核心的「觀光生態圈」。
現在的姬路城,不再只是個景點,它更像是一個擁有極高護城河(實體與經濟意義上都是)的「流量入口」。
但商家的反應卻呈現兩極化。門票收入雖然翻倍進了國庫,但那些城門口賣霜淇淋、賣明信片的小販,看著減少的 20% 人流,心裡恐怕是在滴血。
少了這 20% 的人,不僅是少了門票,更是少了 20% 的潛在消費機會。
這引出了一個更深層的矛盾:當政府透過高票價解決了財政與擁擠問題時,地方經濟的毛細血管是否會因為遊客數量的下滑而壞死?
投資觀點:當「高客單價」成為日本旅遊的關鍵字
身為專業的財經評論家,我們不能只看熱鬧,還得看門道。姬路城的成功調價,預示著日本觀光產業鏈的重大轉向。這對投資者來說,是一個極其強烈的信號。
過去幾年,投資日本旅遊相關標的,大家看重的是「便宜日圓帶來的報復性旅遊」。但現在,邏輯變了。現在看的是「誰有能力調漲單價,且消費者還願意買單」。
這代表以下幾類標的將成為未來的財富關鍵:
- 具備強大護城河的飯店 REITs: 那些位於一線景區、具備不可替代性的高端酒店。當景點開始篩選客群,能住得起這些地方的遊客,對價格的敏感度更低。
- 觀光數位化供應商: 就像姬路城推動的數位票券系統。隨著全日本景點跟進「二重價格」,背後的身份驗證、動態定價算法、以及數位支付系統需求將迎來爆發。
- 特定交通板塊: 注意那些控制著通往這些「國寶級景點」專屬線路的私鐵公司。
當然,這把收割鐮刀並非沒有風險。如果全球景氣低迷,或者日圓大幅升值,這種「高價策略」可能會迅速反噬,導致遊客數量出現「雪崩式」下降。此外,過度商業化可能會稀釋古蹟的文化神聖感,讓遊客產生「不值票價」的負評,這對品牌價值是永久性的傷害。
姬路城的這場漲價實驗,究竟是開創了日本觀光的新元年,還是只是曇花一現的斂財手段?更重要的是,當其他城市看到姬路市口袋滿滿時,他們真的能忍住不跟進嗎?
10 億日圓的豪賭:這筆橫財到底肥了誰?
當我們看到「年收入預計增加 10 億日圓」這個數字時,腦中浮現的往往是地方官員在辦公室裡開香檳的畫面。但這筆錢的流向,才是這場價格風暴的核心。姬路市政府並非單純把錢存進銀行生利息,他們正試圖用這筆從遊客口袋掏出來的「溢價」,去完成一項原本不可能的任務:財政脫鉤。
長期以來,日本地方城市的古蹟維護極度依賴中央政府的補助款。這種手心向上的日子並不好過,中央給錢的同時也會指手畫腳。姬路城現在透過漲價,實際上是在買回自己的「主導權」。這 10 億日圓的新增收入,除了直接投入那幾根幾百年沒換過的巨型木柱維護,更多的是被挪用去補貼市內的公共設施。
這就是財經界最愛討論的「交叉補貼」策略。外國觀光客多付的 1500 日圓,可能變成了姬路市某條馬路的柏油,或是某所小學的營養午餐。這種「劫富濟貧」的手段在政治上極其正確,畢竟選票在市民手裡,而觀光客投不了票。
但這裡藏著一個致命的矛盾。如果這筆錢被拿去補貼行政支出,而不是百分之百回饋到觀光體驗的升級上,那麼姬路城很快就會面臨一個尷尬的局面:遊客付了五星級的價格,卻只得到三星級的服務。當那種「被宰」的感覺超過了對歷史的敬畏,這隻金雞母還能活多久?
被犧牲的霜淇淋:商店街的集體焦慮
政府的帳單好看了,民間的收銀機卻在哭泣。這是我在這次「姬路實驗」中看到最諷刺的一幕。雖然姬路市政府宣稱 17% 的人流下滑是「想定內」(預期之中),但對於城門口賣霜淇淋、和菓子與明信片的小商販來說,這 17% 就是活生生的營收斷裂。觀光收入有一個很重要的特性叫做「長尾效應」。一個景點的價值不只是那張門票,而是遊客在看完景點後,因為心情愉悅而在周邊產生的隨機消費。
現在的問題是,當票價從 1000 變 2500,遊客的預算結構被強制改變了。
- 心理帳戶的排擠: 大多數人旅遊都有預算上限。當門票多花了 1500,他們在買土產時就會變得格外吝嗇。原本會買三盒伴手禮的人,現在可能只買一盒,甚至乾脆不買,只在城門口拍張照就走。
- 停留時間縮短: 門票變貴會提高遊客的「期待閾值」。如果進城後發現人還是很多、動線還是很擠,挫折感會加倍,進而縮短在該區域的停留時間,直接衝擊周邊餐廳的生意。
這就是典型的「政府吃肉,民間喝風」。姬路市政府拿走了高額門票,卻把人流流失的苦果丟給了當地的個體戶。如果商店街因為生意冷清而開始出現倒閉潮或轉型為廉價雜貨店,姬路城的「高端感」也會隨之崩潰。難道這就是所謂的棄卒保帥?
財富密碼:大觀光時代的投資收割清單
身為投資者,我們不能只停留在感嘆票價貴不貴。姬路城的成功調價,其實是在幫我們篩選日本股市裡的優質標的。這場「二重價格」革命背後,隱藏著幾條極其清晰的投資脈絡。
1. 數位支付與身分驗證系統(標的:Recruit Holdings, 6098.T)
要實施二重價格,最難的不是漲價,而是如何快速區分「市民」與「遊客」。姬路城這次大規模引入數位門票系統,就是為了避免在入口處發生查驗證件的混亂。這類能提供一站式觀光數位轉型(DX)方案的公司,未來的訂單會接到手軟。Recruit 旗下的 AirPay 系統正是這波浪潮的領頭羊。
2. 高端鐵路與轉運樞紐(標的:JR 西日本, 9021.T)
別忘了,要去姬路城,絕大多數人得搭乘 JR。當姬路城成功轉向高消費客群,這些客人的交通需求也會跟著升級。他們不再擠普通車,而是更傾向購買新幹線特急券或預約綠色車廂(Green Car)。JR 西日本不只賺你的票價,還賺你因為「想坐得舒服點」而產生的溢價。
3. 日本旅遊主題 ETF(標的:Global X Japan Hospitality and Leisure ETF, 2561.T)
如果你不想研究個股,這類追蹤日本觀光與休閒產業的 ETF 是最直接的選擇。它打包了飯店、航空、鐵路與餐飲。只要日本「高客單價觀光」的趨勢不變,這個板塊就是日圓貶值環境下最硬的護城河。
然而,這些投資標的都建立在一個大前提下:日本的觀光魅力必須維持在「就算貴也要去」的水平。但如果日圓不再便宜,這場遊戲還玩得下去嗎?
崩盤的前兆?「溢價效應」的崩潰點
我們必須冷靜思考:姬路城這波 2.5 倍的漲幅,到底有沒有極限?目前遊客願意買單,很大一部分原因是日圓匯率還處在歷史低位。對於拿美金、歐元甚至台幣的遊客來說,2500 日圓不過就是 15 到 18 美金左右,在國際標準來看,這其實只是「回歸正常」。
但如果未來日圓匯率回升到 120 甚至 110 的水位,那這 2500 日圓就會變成一場災難。屆時門票成本將飆升至 25 美金以上,這已經逼近許多世界級博物館的定價。到那時候,遊客會開始拿姬路城去跟羅浮宮、大英博物館做對比。論規模、論藏品豐富度、論展覽設施,姬路城真的準備好迎接這種等級的競爭了嗎?
更危險的是「跟風效應」。現在京都、奈良甚至東京的景點都在蠢蠢欲動。如果全日本的景點都同步啟動這種收割模式,日本將會迅速從「CP 值之王」變成「全球最貴旅遊目的地」。
這就像是一場集體自殺式的通膨。當每個景點都想分一杯羹,最後的結果就是遊客乾脆換個國家玩。姬路城的這 10 億日圓,究竟是開啟了財政自主的黃金時代,還是推倒了日本觀光崩盤的第一塊骨牌?
當這種價格歧視變成了全國性的常態,那些曾經對日本旅遊充滿憧憬的「窮遊族」,是否會徹底被這座白色古城拒之門外?
全球連鎖反應:下一座倒下的「價格長城」在哪裡?
當姬路市市長看著報表大喊「真香」的時候,全日本甚至全世界的景點管理員都在瘋狂抄筆記。這場實驗的成功,無疑是為全球觀光業打了一劑強心針,也揭開了「精準宰客時代」的序幕。如果說姬路城只是試水溫,那麼接下來這些地方,恐怕已經把鐮刀磨得比武士刀還要鋒利。
首當其衝的絕對是富士山。
如果你以為爬富士山只要體力,那你就太天真了。山梨縣已經開始對吉田路徑收取 2000 日圓的通行費,但這只是毛毛雨。看著姬路城那種「漲價 1.5 倍、收入翻倍」的暴力數學,富士山的管理者大概在想:為什麼我們不直接收 5000 日圓?反正這輩子只爬一次的人佔了絕大多數,這種「一次性收割」的誘惑,對於財政拮据的地方政府來說,簡直比山頂的日出還要迷人。
再來看看那個讓無數文青流連忘返的京都。
京都市政府長期處於破產邊緣,這在財經界早就不是秘密。他們已經取消了超划算的「巴士一日券」,這就是一種變相漲價。接下來,京都極有可能效仿姬路城,針對金閣寺、清水寺等核心景點實施「外地人溢價」。想像一下,當你排隊進清水舞台時,旁邊的在地阿伯刷一下市民卡免費進場,而你得掏出兩張千圓大鈔,那種心靈的衝擊可能比風景還震撼。
這就是現在全球觀光業最推崇的「新加坡模式」:把觀光變成一種特權,而不是權利。 透過高門檻篩選出高淨值客群,減少對基礎建設的磨損,同時極大化稅收。這對於投資者來說是大利多,但對於喜歡隨興旅遊的背包客來說,日本正在從「說走就走」的後花園,變成「沒錢莫入」的高級會所。
智取收割機:如何在「殺豬價」時代當個聰明旅客?
既然我們無法阻止這股漲價大浪,那就要學會如何衝浪,而不是被浪沖走。在姬路城的案例中,其實藏著幾個讓專業投資者都佩服的「漏洞」,只要你夠細心,就能避開那把最利的鐮刀。
第一招:利用「年齡紅利」進行家庭財產轉移。
姬路城宣布 18 歲以下免費,這絕不是單純的善心。如果你家有正值青春期、體力旺盛的孩子,請務必把他們當作你的「免費觀光代理人」。讓他們進去拍 360 度無死角的 4K 影片出來給你看,你坐在城下的星巴克點一杯季節限定抹茶拿鐵,總花費可能還比兩個人進城便宜,而且體感溫度更舒適。
第二招:善用「數位門票」的預約溢價與綑綁銷售。
未來這些景點一定會推行「早鳥數位價」或是「景點組合包」。就像買股票要看本益比,買門票也要看「坪效比」。如果單買姬路城要 2500,但買個包含周邊好古園、動物園甚至地方交通的聯票只要 3000,那這 500 日圓的差價就是你從地方政府手裡贏回來的點數。
第三招:精準挑選「非營利性」的替代標的。
當國寶級景點開始收割時,那些還沒被列入世遺、但歷史底蘊同樣深厚的「二線景點」就是你的機會。這在投資上叫作「尋找被低估的價值股」。日本還有無數個不要錢或是只要幾百日圓的古城廢墟,那種殘破的美感有時比修復得亮麗如新的姬路城更能讓你感受到歷史的沉重,而且你的錢包絕對不會跟著沉重。
終極判決:一場回不去的財政毒藥?
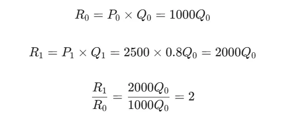
我們來算一筆簡單的數學,看看這場收割秀的底層邏輯。假設原票價為P0 = 1000,原遊客量為 Q0。漲價後 P1 = 2500,遊客量變為 Q1 = 0.8 Q0。
新舊收入的對比公式如下:

結果非常明顯,收入整整翻了 2 倍。
這種暴利會讓任何一個理性的政府官員上癮。這就是財政學上的「棘輪效應」:價格一旦上去了,除非發生大規模暴動或旅遊業徹底崩盤,否則絕對降不回來。
對於日本旅遊業來說,這是一條單行道。既然已經決定要走「高品質、高單價」的路線,就沒有回頭路可走。這意味著未來的日本旅遊將會更貴、更精緻,但也可能更缺乏人情味。
如果你問我,這場實驗最後會如何收場?我的預測是:短期內,姬路市會成為全日本最富有的地方政府之一;長期來看,這會加速日本觀光市場的「階級化」。 那些能持續提供「超越價格價值」的景點會活得很好,而那些只想著跟風漲價、軟體設施卻跟不上的平庸景點,將會在下一波全球景氣寒冬中被徹底拋棄。
這不是演習,這是日本觀光產業的一次大洗牌。你準備好迎接那個「2500 日圓門票」只是起跳價的日本了嗎?或者,你已經在尋找下一個還沒被鐮刀發現的旅遊淨土?
這場關於白鷺城的金錢遊戲才剛開始,而每位踏入城門的遊客,都是這張巨型賭桌上的籌碼。




























