這其實就是「透視投影(Perspective Projection)」:
從觀察點 (X,Y,Z)看 3D 點 (x,y,z),把它投影到某個 2D 平面上。一、幾何設定(最關鍵)
觀察點(相機):
C=(X,Y,Z)
空間點:
P=(x,y,z)
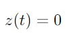
投影平面(最常用):
z=0
👉 我們要找:
從 C 出發,經過 P 的直線,與平面 z=0 的交點
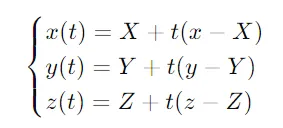
二、直線參數方程
從觀察點出發:

寫成分量:

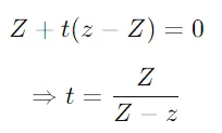
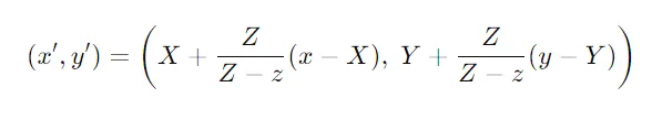
三、與投影平面交點
平面條件:

解 t:

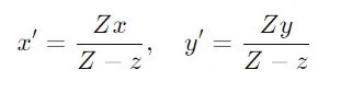
四、得到投影座標
代回 x(t),y(t):
🔷 最終公式(核心)

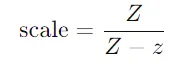
五、公式直覺
👉 這其實是「放大倍率」:

👀 幾何意義
- z→Z(靠近觀察點)
👉 scale → ∞(發散) - z→−∞
👉 scale → 1(幾乎平行投影)
六、轉成矩陣(齊次座標)
這才是電腦圖學真正用的形式。
🔷 定義齊次座標

🔷 透視投影矩陣
(觀察點在 z 軸上簡化版)

🔷 投影後做「透視除法」

👉 等價於前面公式
七、特例(最常用)
📌 觀察點在原點

公式變成:

📌 若投影到 z = d 平面

八、之前問題的深層連結🔥
之前討論:
- 高維 → 低維投影
- 暗物質是否是投影
🔷 這個公式其實說明:
我們觀察到的世界:

👉 不是直接座標
👉 是「觀測依賴的非線性投影」
🔷 關鍵 insight
- 投影不是線性(有除法)
- 會產生:
- 距離扭曲
- 面積扭曲
- 密度異常
👉 這就是很多「物理異常」的數學來源
九、一句話總結
👉 透視投影 = 從觀察點出發的射線與平面交點
公式就是:

















