這是強作用力的核心數學結構。直接寫出標準形式,然後逐項拆解,希望能「看懂它在做什麼」。
一、QCD 拉格朗日量(標準形式)

二、每一項在說什麼(直白翻譯)
這個式子其實只做兩件事:👉 描述「夸克怎麼動」 + 「強作用力場怎麼動」
1️⃣ 第一項:夸克的運動 + 與力的作用

👉 這一項代表:
- ψf\psi_fψf:第 fff 種夸克場(up、down、top…)
- mfm_fmf:該夸克的質量
- γμ\gamma^\muγμ:狄拉克矩陣(相對論結構)
👉 最關鍵是:
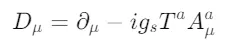
👉 DμD_\muDμ(協變導數)
👉 協變導數定義:

👉 這行非常重要,它代表:
👉 夸克和膠子場的耦合
2️⃣ 第二項:強作用力場本身

👉 這是:
👉 膠子場的能量與動力學
👉 場強張量:

三、最關鍵的一行(物理精華)
👉 注意這一項:

👉 這代表:
👉 膠子會互相作用!
這和電磁學完全不同:
- 電磁場(光子)❌ 不自我作用
- QCD(膠子)✔ 會彼此作用
👉 這就是為什麼會出現:
- 夸克禁閉
- 強作用力距離越遠越強
四、整體物理意義(翻成白話)
👉 這整個拉格朗日量在說:

👉 結果:
👉 形成一個極度非線性的場系統
五、用高維 / AI 類比(重點)
可以這樣看:

👉 所以:
👉 QCD ≈ 一個強耦合、非線性的高維動態系統
六、為什麼這個式子這麼重要?
因為它可以解釋:
- ✔ 夸克禁閉
- ✔ 強子(質子、中子)結構
- ✔ 噴流(jets)現象
- ✔ 核力來源
七、一句話總結
👉 QCD 拉格朗日量描述了夸克與膠子在 SU(3) 對稱下的強耦合動力學,其非線性結構正是夸克無法被單獨觀測的根本原因


















