回顧 Shapley value
令 N = {1,2,…,n} 為玩家集合,v 為特徵函數(v(∅) = 0),假設此合作賽局為超加性賽局且結果的聯盟結構為全體聯盟。Shapley Value 是利用「所有可能的進場順序」之下,每位玩家對整體的邊際貢獻平均值來計算。具體步驟如下:
定義一個排列表示玩家進場順序:

總共會有 n! 種不同的進場順序(排列)。
再給定了一個進場順序 (a_1, a_2,..., a_n) 下,成員 i 的邊際貢獻是這樣計算的:

於是成員 i 在此順序下的邊際貢獻就是

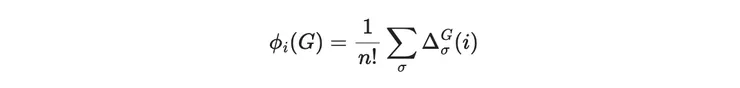
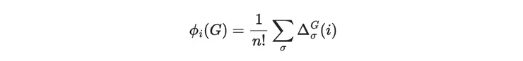
接著,我們就對每個先後順序都計算成員 i 在該順序下的邊際貢獻,取平均即可

其中的求和符號要讓 sigma 跑遍所有可能的先後順序,因為成員有 n 為,所以總共有 n! 個邊際貢獻需要計算。此 phi_i (G) 即為成員 i 的 Shapley value。
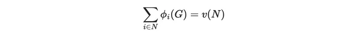
對每個成員 i 都計算其 Shapley value 就可以得到在全體聯盟下,最後的效益分配向量:

效率 Efficiency
意義:Shapley value 滿足

代表整個博弈的總價值 v(N) 會被完整地分配給所有玩家,沒有浪費或剩餘。
證明
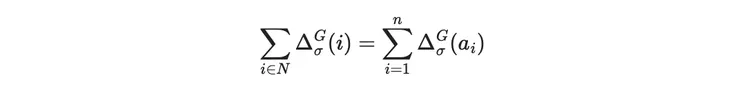
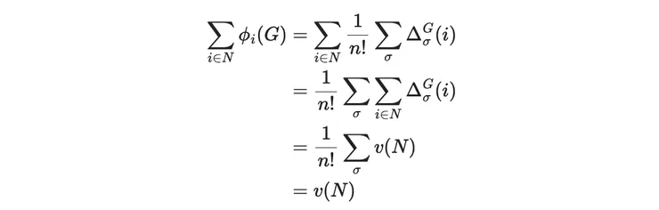
我們要證明對任一合作賽局 G(滿足 v(∅) = 0),有

根據定義,此等式可寫為

令某個排列為

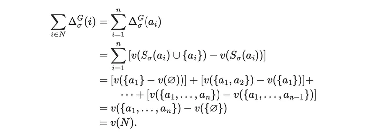
注意到以下事實

原因是,等式左右邊都是把所有玩家在該排列下的所有邊際貢獻都加起來,只是一個按照順序加起來,另一個根據排列順序 a1, a2, ..., an 加起來。
我們還可以繼續往下寫:

於是回到原式,可以寫出

因為最後的求和符號會跑遍一共 n! 個排列順序。
證明完畢。
對稱性 Symmetry
對稱性:若對於任何不包含玩家 i 與 j 的聯盟 C⊆N,皆有

則稱玩家 i 與 j 在此博弈中「對稱」。也就是說,不論在哪個子集合 C 裡,將 i 加入或將 j 加入,其貢獻都一模一樣。
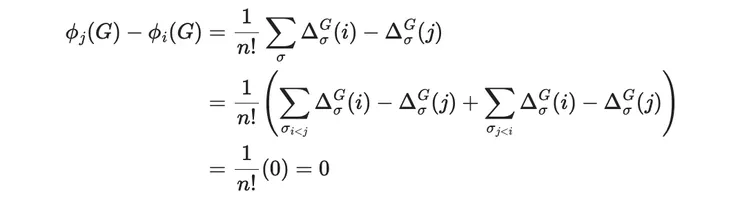
對於兩個對稱的玩家 i 與 j ,Shapley value 必定會分配給他們一樣的效益
證明
(非常複雜)
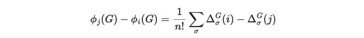
首先我們要證明的東西是,當 i 與 j 為對稱時,

我們就採用相減等於零的證明方法

注意到我們可以把排列分為兩類

於是上面的算式就可以寫為

意思是第一個求和符號跑遍所有 i 在 j 之前的排列,而第二個求和符號跑遍所有 j 在 i 之前的排列。
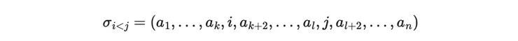
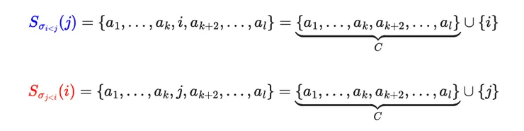
注意到對於每個 i 在 j 之前的排列

我們都可以對應到一個 j 在 i 之前的排列

也就是把 i 與 j 互換,其他排序保持不動。
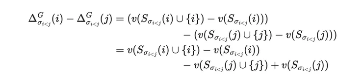
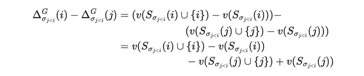
我們來計算以下的值:

第一個括號的計算為:(藍色為要加上的效用,紅色為要減去的效用)

即

類似地,第二個括號要計算

即

好先注意到

以及

再來根據玩家 i 與 玩家 j 的對稱性,我們知道

因為上上一條告訴我們

最後了加油!我們需要證明

與

效用一樣,很簡單,兩者分別可寫成

其中 C 為不包含玩家 i 與 j 的聯盟,於是再次根據對稱性

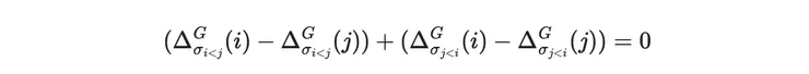
到此為止,紅色(加法)與藍色(減法)的效用一對一對互相抵銷了。
我們得出結論

所以我們要證明的算式

(對於第一個求和符號中的每個排列,你都可以在第二個求和符號中找到一個對應的,也就是把 i 與 j 對調的排列,兩者做剛剛上面的計算會等於零)
證明完畢
沒貢獻的玩家不可得到收益 Dummy Player gets nothing
沒貢獻的玩家:若對於任何不包含 i 的聯盟 C⊆N,都有

則稱玩家 i 為 Dummy Player (沒貢獻的玩家)。
Shapley value 必定不會分配給 Dummy Player 任何效益
證明
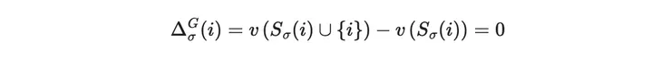
對於任一排列(進場順序),玩家 i 的邊際貢獻定義為

由於 i 是 Dummy Player,對於任何不包含 i 聯盟 S(特別是 S=S_sigma (i) ),有

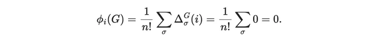
因此,對每個排列sigma 都有

最後我們可以計算 Shapley Value

證明完畢
可加性 Additivity
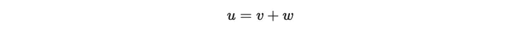
假設在同一個群體 N 上,有兩個不同的超加性賽局 G1, G2 分別有特徵函數 v 與 w ,並假設這些特徵函數下最後都會行程全體聯盟(也就很自然計算出 Shapley Value)。現在定義一個新賽局 G 有特徵函數

其實就是對每個聯盟 S 有特徵函數值

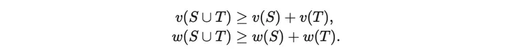
首先,因為 G1 與 G2 都是超加性,所以 G 也會是超加性,而其結果也會是全體聯盟。(證明在下面)
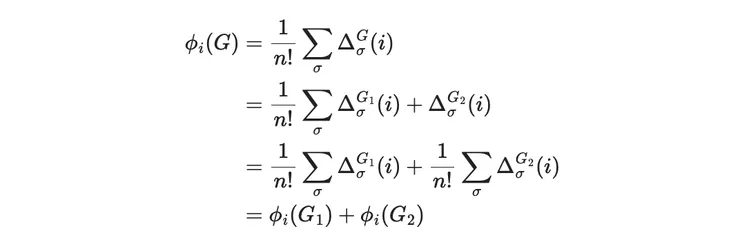
而如果要計算新賽局的 Shapley Value ,我們可以直接把原本 G1 與 G2 中的 Shapley Value 直接相加得到:

這就是 Shapley Value 的「可加性」
證明
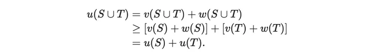
首先讓我們證明「因為 G1 與 G2 都是超加性,所以 G 也會是超加性」
假設 S 與 T 為兩個不相交的聯盟,因為 G1 與 G2 都是超加性,所以

將兩個不等式相加,得到:

因此

證明完畢
其次讓我們證明可加性

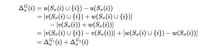
根據 Shapley Value 的定義,對於賽局 G

而其中

因此

證明完畢
Takeaway
- 效率(Efficiency):
證明了所有玩家的 Shapley Value 總和恰好等於大聯盟 v(N)v(N) 的總價值,確保博弈中產生的全部價值都被分配,沒有浪費或剩餘。
- 對稱性 (Symmetry):
如果兩位玩家在不包含他們的任何聯盟中所帶來的額外效用相同,那麼他們的邊際貢獻在所有排列下都是相同的,最終的 Shapley Value 也相等,這反映了公平性。
- 沒貢獻的玩家 (Dummy Player gets nothing):
當某位玩家無論在哪個聯盟中加入都不會增加額外價值時,其邊際貢獻均為零,因此 Shapley Value 為 0,保證了「沒貢獻的玩家不分配收益」的原則。
- 可加性 (Additivity):
如果將兩個賽局的特徵函數 v 和 w 加總為新賽局 u = v + w,則新賽局中玩家的 Shapley Value 正好等於原來兩個賽局中該玩家的 Shapley Value 的和。這意味著,面對多個賽局或不同收益來源時,分配結果能保持一致且易於合併分析。
Reference
Branzei, Rodica, Dinko Dimitrov, and Stef Tijs. _Models in cooperative game theory_. Vol. 556. Springer Science & Business Media, 2008.
Chalkiadakis, Georgios, Edith Elkind, and Michael Wooldridge. _Computational aspects of cooperative game theory_. Morgan & Claypool Publishers, 2011.




















