在前一篇文章(Day 12)中,我們已經簡介了核仁(nucleolus)的概念。本篇將更嚴謹地證明:只要合理分配空間 I(v) 非空,核仁必定存在。核心工具將是歐氏空間中著名的「極值定理(Extreme Value Theorem)」。
回顧:核仁的定義
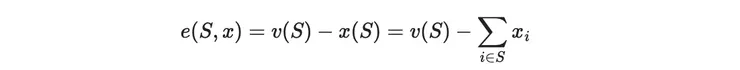
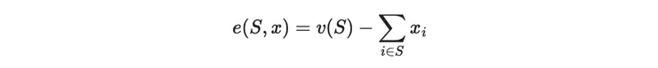
不滿值(excess)
對於每一個效益分配向量 x ,我們會計算他對每個聯盟的「不滿值(excess)」:

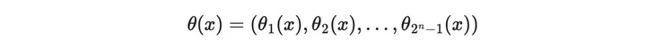
我們會對每一個聯盟 S 都計算這個 e(S, x) ,因此共有 2^n - 1 個不滿值。我們將這些不滿值由大到小排序:

也就是說

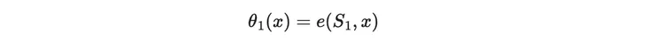
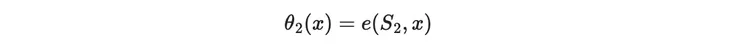
為了方便,我們也指定以下符號:

序列中第一個元素的意思

序列中第二個元素的意思,以此類推

字典序(lexicographic ordering)
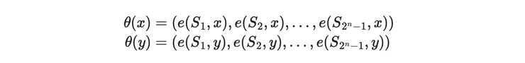
假設我們有兩個效益分配向量 x 與 y ,並且他們根據計算得出的不滿值排出向量:

我們說,θ(x) 在字典序下比 θ(y)

若且唯若存在一個下標 k 滿足

以及對於所有小於 k 的下標 l

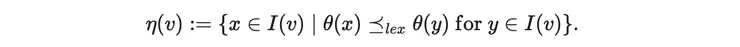
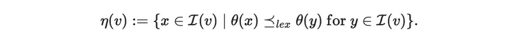
最後,我們就可以寫下核仁 Nucleolus 的定義:

也就是說核仁是在字典序下,最小的 θ(x) 向量,其中 x 為所有可能的合理分向量(下節說明)
Imputation Set(合理分配集合)
為了利用效益分配向量的拓樸性質,我們需要先定義一個常用的拓樸物件:Imputation set。
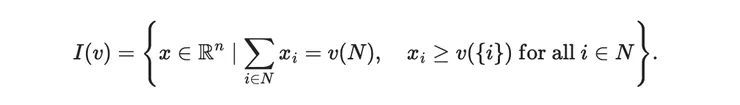
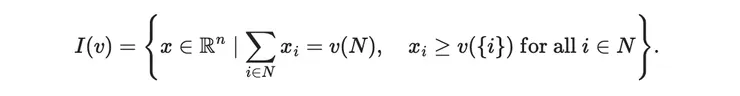
這很簡單,對於一個合作賽局 (N, v) 來說,imputation set 就是收集所有滿足效率性與個體理性的效益分配向量:
效率性已經提過很多次,就是指

個體理性的意思是:對每個個體來說,參與聯盟而配得的效益不可以少於他自己單獨作業所得到的效益:

因此,對一個合作賽局 (N, v) ,他的 imputation set 會是

本篇文章的後面一段會對證明這個集合的更多拓樸性質,且會被利用在核仁存在性的證明。
我們今天的目的,就是要證明只要合理分配向量 I(v) 非空,那核仁必定也是非空。
極值定理
這個存在性證明,最主要就是要用以下的極值定理:
在歐氏空間中,若函數 f 是定義在一個緊緻 compact 集合 X 上的連續函數,則 f 可以在 X 裡達到最小值,且所有達到最小值的點 x 也是一個緊緻集合。
好我們簡單證明此定理:
1, 由於 X 是緊緻的,所以 f(X) 也是緊緻的
2, 因為 f(X) 是緊緻的,所以

也就是存在某個 x 使得

至此為止我們證明了 f 可以在 X 裡達到最小值。
3, 考慮所有達到最小值的點 x 為集合 M

4, 因為 m 是最小值,所以對定義域 X 的捕集 X - M 就是 函數 f 的開超水準集(對不起我不知道怎麼翻譯):

5, 因為 f 是連續函數,根據連續函數的定義(開集合版本):值域中的開集合在連續函數 f 中的原相為開集合。而注意到

且顯然 (m, ∞) 為開區間,因此 X - M 為一個開集合,再根據拓撲空間中對閉集合的定義(開集合在拓樸(子)空間中的補集為閉集合,且 X - (X - M) = M),我們知道 M 是一個閉集合。
6, 因為 M ⊆ X 而 X 是緊緻的(閉且有界),所以 M 也是有界的集合,根據上一點,我們知道 M 是閉且有界,因此 M 是緊緻的。
證明完畢。
存在性定理證明
我們要證明的定理如下:
對於任何合作賽局 (N, v) 我們有

其中

為核仁,以及

為合理分配空間(Imputation set)
直覺說明
直覺上我們應該可以想見說,因為核仁是用這個不等式

定義出來,我們可以依序比較這些 θ 序列中的元素:先比第一個元素

收集候選的 x ,然後你也發現這些 x 是在 θ 下的某種最小值,可以利用上面的極值定理,候選的 x 大概會形成一個閉集合。
再比第二個

收集候選的 x ,大概也會形成一個閉集合。以此類推,重複利用上面的極值定理。
好,萬事起頭難,第一個要證明的點就是 I(v) 是一個緊緻空間,極值定理才可以開下去。(然後極值定理就可以一直開下去)
Imputation set 的緊緻性
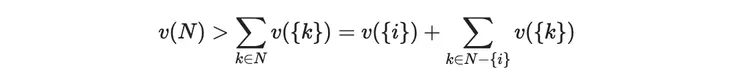
假設此遊戲是 N-essential ,意思就是

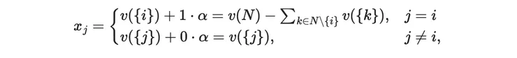
則 Imputation set 非空,且會是一個單純形(Simplex)並有以下極點

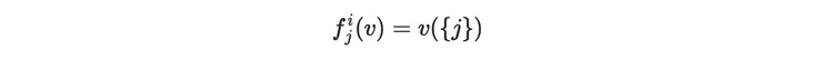
其中

我們的證明分兩部:第一步是證明這些點真的是極點,第二步是證明 Imputation set 裡面的任何點都是這些極點的凸組合
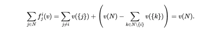
驗證這些候選極點都在 Imputation set 裡:
效率性條件:

個體理性條件:對於 j ≠ i ,我們有

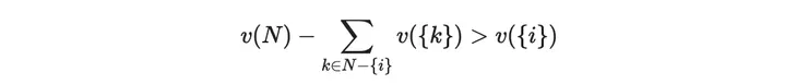
對於 j = i ,先因為我們假設 N-essential 所以有

移項得到

注意到左手邊其實就是給定的

驗證這些候選極點真的是極點:
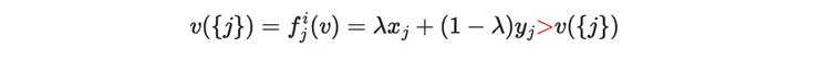
假設這些點都可以寫成一個凸組合

注意到第 j 個元素, j ≠ i ,我們知道

但是因為 x 和 y 都在 imputation set 裡面,都要滿足個體理性條件,所以

現在假設兩個不等式中,其中一個等號不成立,那我們必然會有

(注意到 λ ∈ (0, 1) )
因此我們結論出

以此類推,我們知道所有 j ≠ i 的座標都有

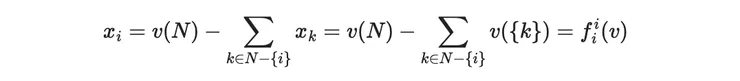
至於 j = i 這個座標,根據效率性原則

因為 k 都不是 i ,以及上面的論證。
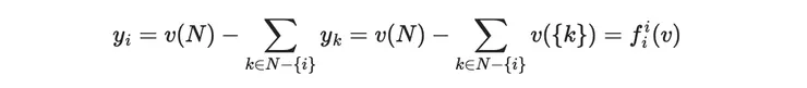
同理:

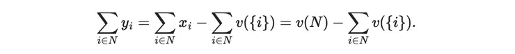
因此我們證明了:
若這些點可以寫成一個凸組合

則

於是結論出這些

都是極點
證明任一個在 I(v) 中的點都可以寫成這些點的凸組合:
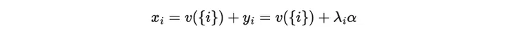
令 x 屬於 I(v) ,是我們想要組合出的向量
訂一個新的變數:

根據個體理性條件, y_i ≥ 0。再由效率性條件得到

現在令

則這些 (y1, y2, ..., yn) 點都屬於

而集合 Y 就是一個 (n - 1) 維度的單純形,其極點是當某一分量取 α 而其他分量取 0 的點。
從這出發,我們又可以把 y_i 寫成

其中 e_i 是向量空間中的標準基底,而 λ_i ≥ 0 且滿足

根據我們 y_i 一開始的構造方法,可以得到

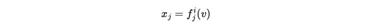
現在注意到當 λ_i = 1 而其他 λ_j = 0 時,這個 x 恰好是


因此我們做出結論,對於所有在 I(v) 中的 x ,我們都可以將其表示為

也就是說 I(v) 確實是由極點

做出的單純形。
在最後的最後,因為他是一個單純型,所以閉(突組合)且有界,因此是一個緊緻集。
連續函數
現在我們要證明

是 x 的連續函數。也就固定某個 x ,我們要證明對於所有 ε ,我們都可以找到一個 δ 使得若

則

首先注意到

是一個線性函數,當然也就是連續函數。
因此對於任何給定的 ε_0 我們可以找到 δ_0 使得

現在我們取足夠小的 ε_0,使得下列性質成立:

若 e(Si, x) = e(Sj, x) 則可能會發生兩個順序互換的問題,但是不要緊張,當你固定好以下的向量

也就是 x 下的不滿值的由大到小的排序,則 y 下的不滿值的由大到小的排序會有兩種狀況:
若 e(Si, y) ≥ e(Sj, y) ,則仍然還是

若 e(Si, y) < e(Sj, y) ,則變成

而後者我們仍然有

以及

因此我們結論出,對於任意給定的 ε 我們都可以找到一個 δ_0 讓

證明完畢。
真正的存在性定理
對於一個合作賽局 (N, v)

證明如下:首先若

則

是一個緊緻的集合(也就只有一個點而已)
若

則 I(v) 根本是空集合,不是本定理考慮的對象。
若

則此為一個 N-essential 賽局,根據上上段的證明,I(v) 會是一個單純形,是一個緊緻的集合。
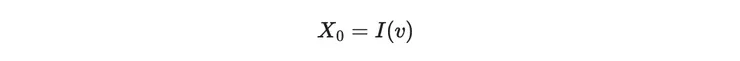
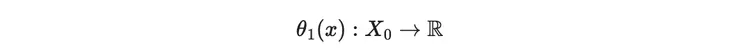
令

則我們可以考慮在 X0 上面的函數

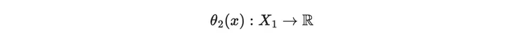
根據上段的證明,這個函數是連續的,所以根據極值定理:收集所有達到最小值的 x 作為集合 X1 ,而此集合仍然是緊緻的。考慮在 X1 上面的函數

再次根據上段的證明,這個函數也是連續的,因此也再次根據極值定理,可以將達到最小值的 x 寫成集合 X2。
以此類推,做到 X_{2^n-1} 時,這個 X_{2^n-1} 仍然是非空的緊緻子集,因此對於裡面的 x

都會滿足

也就是說在字典序的排序下,這個 x 滿足

於是 x 屬於核仁,核仁非空,證明完畢。
Takeaway
Imputation set:在 N-essential 情況下是非空且緊緻的多面體。
Excess 函數連續:每個 excess 都是線性函數,保證在固定順序下向量 θ(x) 連續。
迭代最小化:利用極值定理在每一步最小化 θ(x) 的座標,確保有解。
核仁存在:只要 I(v) 非空(特別是 N-essential),η(v) 必非空。
Reference
Branzei, Rodica, Dinko Dimitrov, and Stef Tijs. _Models in cooperative game theory_. Vol. 556. Springer Science & Business Media, 2008.
Chalkiadakis, Georgios, Edith Elkind, and Michael Wooldridge. _Computational aspects of cooperative game theory_. Morgan & Claypool Publishers, 2011.















