前導
二變數的函數可能相當複雜,有時我們需要用較簡單的函數來近似,以達到所需的精確度,同時也讓這些函數較容易處理。我們會用一種方法來做這件事,這種方法與我們在線性化單變數函數時所使用的方式相似。
公式推導說明
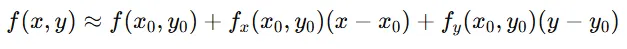
假設我們要近似的函數是 z=f(x,y),我們想在某一點 (x0,y0) 附近進行近似,而且我們知道該點的函數值 f(x0,y0),還有偏導數 fx 和 fy,且函數 f 在該點可微。若從 (x0,y0) 移動到鄰近點 (x,y),其偏移量為 Δx = x−x0、Δy = y−y0,我們可以得到如下圖:

最後我們可以得到近似式:

二變數函數的線性化其實就是一種切平面近似(tangent-plane approximation),就像一變數函數的線性化是一種切線近似。
範例演習
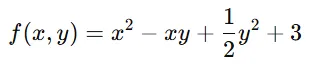
求函數

在點 (3,2) 的線性化函數 L(x, y)
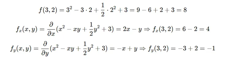
先計算 f、偏導數 fx、fy 在 (3, 2) 的值:

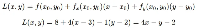
接著代入線性化公式:

這個函數在點 (3, 2) 的線性化為:

所以呢,函數在 (3, 2) 處附近的近似行為示意圖如下:

全微分(total differential)
我們對單變數函數 y = f(x) 有以下定義:
- 若 x 從 a 變化為 a + Δx,則函數的變化量為:

- 而微分 df 被定義為(可估函數變化量近似值):

現在我們考慮二變數函數 f(x, y) 的微分。
如果從點 (x0,y0) 移動到一個鄰近點 (x0+dx,y0+dy),則函數的總變化量(全微分)定義為:

全微分 df 代表 f(x, y, z) 由於 x、y、z 微變所引發之變化量總和,由此亦可估計一個函數之微變量。
範例演習
假設一個圓柱罐原本設計半徑為 1 英吋,高為 5 英吋,但實際製作時半徑與高度的誤差分別為:
- dr = +0.03
- dh = −0.1
請估計這會造成的體積變化量。
我們用體積公式 V=πr2h 的微分 dV 來估計體積變化:

計算並帶入:

得出結論:
由於製造誤差導致圓柱罐體積增加約 0.63 立方英吋。



















