對於反雙曲函數的微分推導,方法並不僅僅侷限於一種方法,我們既可以先定義反雙曲函數的形式再進行微分。亦可以由反函數的微分方式來做微分。
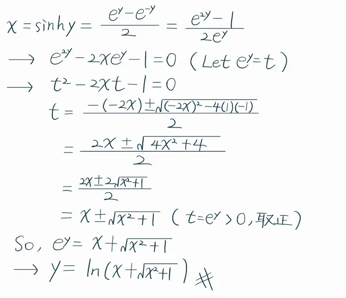
我們以反雙曲正弦函數為例子,首先嘗試定義其表示的形式,這裡會使用到反函數的概念。我們設定 y = arcsinh(x),x = sinh(y)。

如此,我們就定義了arcsinh(x)的自然對數表達式。
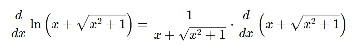
現在,我們可以很輕鬆地進行微分的動作,所以arcsinh(x)的導數結果如下所示:

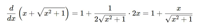
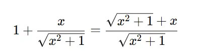
微分括號內的式子:

帶回原式:

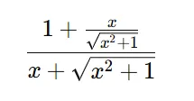
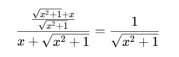
分子通分:

整個式子變為:

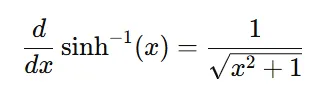
所以最終結果就是:

好,過程可能有點繁瑣,但其實一步一步慢慢做下來,也並不會太艱澀難懂。
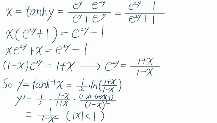
這邊再示範arctanh(x)的自然對數形式定義與微分過程:

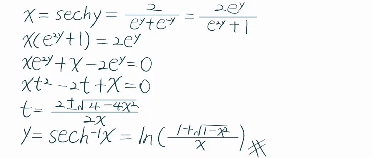
最後,提供讀者arcsech(x)的自然對數形式定義,微分的推導就請讀者自行練習吧。

另外,剩餘的反雙曲函數的對數形式皆透過類似的方法求得,這邊就不繼續寫下去了,讀者也不必去背。
接下來,我想以反雙曲餘弦函數為例子,示範直接利用反函數的定義推導其導數,以下示範:
首先,先觀察雙曲餘弦函數的大致示意圖形:

利用水平線測試法,發現不是一對一,我們透過限制其定義域(Domain),讓其變為一對一函數,由於這些受限函數現在是一對一的,因此它們具有反函數:

現在函數 cosh(x)的值域(Range)是:

所以它的反函數 arccosh(x)定義域(Domain)是 x≥1。
好,現在設定:

使用反函數的微分定理,過程如下:

所以最後:

注意,在結果中,為了讓導中分母的根號存在,我們進一步要求 x>1。
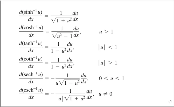
最後的最後,下面提供反雙曲函數微分的公式整理表:

以上就是反雙曲函數的微分講解,希望對讀者有幫助。
本頻道持續更新中(內容涵蓋前端程式設計入門、大學必備程式設計入門、電子系專業課程入門、數學微積分題解)如果身旁有相關科系的學生,不妨推薦一下喔~
相信這裡會是家教或線上課程之外,高中、大學生系統性綜合學習的好選擇。
最後感謝您的觀看!




















