在實際臨床或觀察性研究中,研究者常面臨一個問題:無法進行隨機分派治療或暴露組,如何在數據中找出一組真正能和案組相匹配、彼此可比的對照組?這時,傾向分數分析(Propensity Score Analysis, PSA)成為一種有效的統計方法,幫助研究者透過數據重現隨機化試驗的效果,降低混淆因子干擾,獲得更準確的因果推論。
傾向分數的定義與目的
傾向分數,是指受試者在給定所有相關共變項條件下,接受某種處置(如治療、暴露)的機率。它彙整了多個混淆變項的信息,能讓你用單一的分數來衡量「個案成為治療組的傾向」。
使用傾向分數分析的核心目的,是在無法隨機分派的情境下,模擬隨機化分組的理想狀態,使「暴露組」和「對照組」在共變項分布上達到平衡。如此一來,研究結果就不會因基線條件差別過大而產生偏誤。 傾向分數分析的黃金四步驟如下
傾向分數分析的黃金四步驟
第一步:建立傾向分數模型
傾向分數分析的第一步是計算每個人的傾向分數,即在給定所有背景特徵的情況下,該個體被分到暴露組的機率。
變數選擇是成敗關鍵:你需要選擇所有可能同時影響「暴露狀態」和「研究結果」的共變項。這些變項應該來自你的資料庫,例如:年齡、性別、種族、BMI、吸菸史、基礎疾病、社經因素等。
模型建構:通常使用羅吉斯迴歸模型,以「是否為個案」作為因變數,所有選定的共變項作為自變數。模型的輸出就是每個人的傾向分數,範圍在0到1之間。
第二步:選擇對照組配對方法
計算出傾向分數後,有幾種主要方法可以創建平衡的比較組:
1. 傾向分數配對
- 一對一配對:為每個個案找一個傾向分數最接近的對照
- 一對多配對:在對照組樣本充足時(如你的40萬人資料庫),可為每個個案配對多個對照(如1:2、1:4)
- 卡尺配對:設定容許範圍(如傾向分數差異不超過0.02),避免匹配質量過差
2. 傾向分數加權
- 使用逆概率加權方法,為每人賦予權重(個案=1/傾向分數,對照=1/(1-傾向分數))
- 優點是保留所有樣本,但可能產生極端權重問題
3. 傾向分數分層
- 將所有人按傾向分數分成5-10層,在每層內比較結果
- 適合樣本量大的情況
第三步:平衡性檢查
完成配對或加權後,我們必須進行平衡性檢查(Balance Check),確認兩組在所有共變項上是否真的達到了平衡。
- 檢查方法: 最常用的指標是標準化平均數差異(Standardized Mean Difference, SMD)。
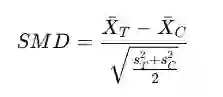
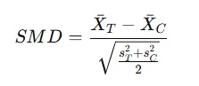
- 連續變數(例如:年齡、BMI)
XT:治療組(Treatment group)的平均數XC:對照組(Control group)的平均數S2T,S2C:兩組的變異數👉 這個公式就是「兩組均數差異」除以「合併標準差」。
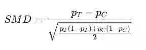
- 二元變數 / 類別變數(例如:性別、是否吸菸)

- PT:治療組某特徵的比例(例如吸菸者的比例)
- PC:對照組的比例
- 判斷標準: 一般來說,如果所有共變項的 SMD 都小於 0.1,就代表兩組達到了良好的平衡。
- ∣SMD∣<0.1 → 平衡良好
- ∣SMD∣~0.1–0.2 → 輕度不平衡
- ∣SMD∣>0.2 → 明顯不平衡
如果平衡性不佳,我們可能需要回到第一步,重新調整傾向分數模型,例如加入更多變數或考慮變數間的交互作用。
第四步:最終分析與敏感性測試
平衡性確認後,可進行最終的結果分析。根據採用的方法不同,分析策略也需相應調整:
- 配對後資料:使用條件式羅吉斯迴歸等考慮配對結構的方法
- 加權後資料:使用加權迴歸模型,並考慮強健標準誤
傾向分數分析的意義與適用
傾向分數分析不是簡單的抽樣方法,而是一種統計技術,能在觀察性研究中「模擬隨機分配」,大幅降低混淆偏差。它特別適合以下情況:
- 研究中暴露與對照組沒有隨機分派。
- 基線共變項眾多且無法輕易直接比較。
- 個案數相對較少,但有龐大的潛在對照池。
透過傾向分數分析,研究者能選擇出在其他條件一致下,唯一變因為暴露狀態的個體組合,讓觀察性研究的因果推論更為有力與公正。
總結
傾向分數分析是一套複雜但功能強大的方法,它的核心架構是:
- 建立能預測處置機率的傾向分數模型。
- 根據傾向分數進行配對或加權,尋找相似的對照。
- 嚴格檢查配對或加權後的共變項平衡。
- 使用適當的迴歸模型進行最終分析。
對於像從40萬人資料庫找出350多案例的研究設計,傾向分數分析能大幅提升對照組選擇的科學性和分析結果的可信度,使非隨機的觀察性研究更接近隨機試驗的嚴謹度。
























