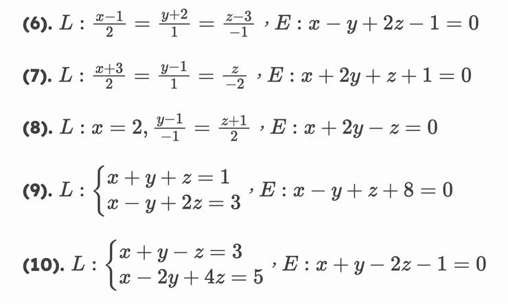
空間中直線與平面夾角(一)

更新 發佈閱讀 1 分鐘
vocus|新世代的創作平台
vocus|新世代的創作平台



解答:

vocus|新世代的創作平台



留言
avatar-img
WilliamP的沙龍
16會員
621內容數
歡迎來到 WilliamP 的沙龍天地,在這裡將與各位讀者探討各種主題,包刮高中數學題庫、PHP開發經驗、LINE聊天機器人開發經驗、書摘筆記等,歡迎交流!
WilliamP的沙龍的其他內容
2025/12/06
高中數學主題練習—空間中直線在平面上之投影直線
Thumbnail
2025/12/06
高中數學主題練習—空間中直線在平面上之投影直線
Thumbnail
2025/12/06
高中數學主題練習—判斷空間中三平面關係
Thumbnail
2025/12/06
高中數學主題練習—判斷空間中三平面關係
Thumbnail
2025/12/06
高中數學主題練習—已知級數公式求一般項及某項
Thumbnail
2025/12/06
高中數學主題練習—已知級數公式求一般項及某項
Thumbnail
看更多
你可能也想看
Thumbnail
這是一場修復文化與重建精神的儀式,觀眾不需要完全看懂《遊林驚夢:巧遇Hagay》,但你能感受心與土地團聚的渴望,也不急著在此處釐清或定義什麼,但你的在場感受,就是一條線索,關於如何找著自己的路徑、自己的聲音。
Thumbnail
這是一場修復文化與重建精神的儀式,觀眾不需要完全看懂《遊林驚夢:巧遇Hagay》,但你能感受心與土地團聚的渴望,也不急著在此處釐清或定義什麼,但你的在場感受,就是一條線索,關於如何找著自己的路徑、自己的聲音。
Thumbnail
學校老師教太慢,或是教霧沙沙,可以透過網路力量解決。 學習順序 1.買一本網路推薦的參考書,翻閱其目錄,先大略看一下內容 2.將不熟的單元、困難的單元註記起來,在網路上找大量教學影片看 3.做題目,一開始生疏,多看詳解,慢慢來 4.真的不懂的細節在到網路上找資教學資源補強 youtube學習頻道推薦
Thumbnail
學校老師教太慢,或是教霧沙沙,可以透過網路力量解決。 學習順序 1.買一本網路推薦的參考書,翻閱其目錄,先大略看一下內容 2.將不熟的單元、困難的單元註記起來,在網路上找大量教學影片看 3.做題目,一開始生疏,多看詳解,慢慢來 4.真的不懂的細節在到網路上找資教學資源補強 youtube學習頻道推薦
Thumbnail
大家常常說,比特幣每四年會減半、總量有 2100 萬個,但是礦工每天都在挖,那比特幣減半的時間和它的總量是怎麼算出來的呢? 其實,只要利用高中的數學就可以算出來囉!我們一起來看看吧!
Thumbnail
大家常常說,比特幣每四年會減半、總量有 2100 萬個,但是礦工每天都在挖,那比特幣減半的時間和它的總量是怎麼算出來的呢? 其實,只要利用高中的數學就可以算出來囉!我們一起來看看吧!
Thumbnail
高中畢業後的十年,我不只一次夢見自己在高一數學課堂上,答不出老師質問的數學題目。當我從夢中驚醒,我會有幾秒不知道自己身在何處、現在是什麼時空,然後提醒自己:「我大學學測數學成績落在頂標……我已經從政大畢業了……我在美國讀研究所……我現在是一個高中老師。」
Thumbnail
高中畢業後的十年,我不只一次夢見自己在高一數學課堂上,答不出老師質問的數學題目。當我從夢中驚醒,我會有幾秒不知道自己身在何處、現在是什麼時空,然後提醒自己:「我大學學測數學成績落在頂標……我已經從政大畢業了……我在美國讀研究所……我現在是一個高中老師。」
Thumbnail
藉由大考中心於發布的新課綱學測參考試卷,整理重要的觀念和解題方法。 題目:選擇二 觀念:特殊點的假設
Thumbnail
藉由大考中心於發布的新課綱學測參考試卷,整理重要的觀念和解題方法。 題目:選擇二 觀念:特殊點的假設
Thumbnail
在AI浪潮下,009819 中信美國數據中心及電力ETF 直接卡位算力與電力雙主軸,等於掌握AI最核心基建。2008從 Apple Inc. 與 iPhone 帶動供應鏈,到如今AI崛起,主線已由應用端轉向底層。AI發展離不開算力與電力支撐,009819的價值,在於押中「沒有它不行」的核心資產。
Thumbnail
在AI浪潮下,009819 中信美國數據中心及電力ETF 直接卡位算力與電力雙主軸,等於掌握AI最核心基建。2008從 Apple Inc. 與 iPhone 帶動供應鏈,到如今AI崛起,主線已由應用端轉向底層。AI發展離不開算力與電力支撐,009819的價值,在於押中「沒有它不行」的核心資產。
Thumbnail
《轉轉生》(Re:INCARNATION)為奈及利亞編舞家庫德斯.奧尼奎庫與 Q 舞團創作的當代舞蹈作品,結合拉各斯街頭節奏、Afrobeat/Afrobeats、以及約魯巴宇宙觀的非線性時間,建構出關於輪迴的「誕生—死亡—重生」儀式結構。本文將從約魯巴哲學概念出發,解析其去殖民的身體政治。
Thumbnail
《轉轉生》(Re:INCARNATION)為奈及利亞編舞家庫德斯.奧尼奎庫與 Q 舞團創作的當代舞蹈作品,結合拉各斯街頭節奏、Afrobeat/Afrobeats、以及約魯巴宇宙觀的非線性時間,建構出關於輪迴的「誕生—死亡—重生」儀式結構。本文將從約魯巴哲學概念出發,解析其去殖民的身體政治。
Thumbnail
我從今年初開始就不斷強調,AI 的發展過程中,電力是多麼重要的一件事,算力雖然是推動 AI 的引擎,但電力才是支撐引擎運轉的燃料,沒有充足且穩定的電力供應,再先進的 GPU 也只是無法啟動的昂貴晶片、毫無用武之地,所以AI的終點不是算力,而是電力。
Thumbnail
我從今年初開始就不斷強調,AI 的發展過程中,電力是多麼重要的一件事,算力雖然是推動 AI 的引擎,但電力才是支撐引擎運轉的燃料,沒有充足且穩定的電力供應,再先進的 GPU 也只是無法啟動的昂貴晶片、毫無用武之地,所以AI的終點不是算力,而是電力。
Thumbnail
#小倉鼠#社畜逃脫筆記#PODCASTS#說書#人生的損益平衡點 #木暮太一 # 大牌出版 #低薪#勞動力價格 #經濟學 #資本主義 #大創 #必要經費制 #馬克思#資本論 #努力無用論#供需法則 #無效努力 #高工時#剩餘價值 #窮忙 #替豬肉店加油 #內在盈利#精神赤字 #老基門生吃十年#自律
Thumbnail
#小倉鼠#社畜逃脫筆記#PODCASTS#說書#人生的損益平衡點 #木暮太一 # 大牌出版 #低薪#勞動力價格 #經濟學 #資本主義 #大創 #必要經費制 #馬克思#資本論 #努力無用論#供需法則 #無效努力 #高工時#剩餘價值 #窮忙 #替豬肉店加油 #內在盈利#精神赤字 #老基門生吃十年#自律
Thumbnail
這幾天剛好看到 V 神介紹有關平方支付的文章,他基於平方投票法的概念,提出了平方募資法的概念,冬冬發現有平方募資法有些部分可以用高中數學就可以解釋了,因此想針對這個內容進行一些探討。前面會簡單的介紹各種概念,比較沒有數學的內容,相關的數學證明會放在最後,有興趣的朋友可以看看哦!
Thumbnail
這幾天剛好看到 V 神介紹有關平方支付的文章,他基於平方投票法的概念,提出了平方募資法的概念,冬冬發現有平方募資法有些部分可以用高中數學就可以解釋了,因此想針對這個內容進行一些探討。前面會簡單的介紹各種概念,比較沒有數學的內容,相關的數學證明會放在最後,有興趣的朋友可以看看哦!
追蹤感興趣的內容從 Google News 追蹤更多 vocus 的最新精選內容追蹤 Google News