在數學課裡,我們早已習慣了那些冷冰冰的公式,彷彿它們是從天而降的真理。但你可能不知道,三次方程的求根公式——「卡丹公式(Cardano's Formula)」,其背後隱藏著一段關於背叛、決鬥與數學天才之淚的黑歷史。
1. 誰才是真正的發明者?
16 世紀的義大利,數學家們流行一種「腦力決鬥」:雙方互出難題,輸家不僅丟臉,還可能失去教授職位。當時一位綽號叫 塔塔利亞(Tartaglia) 的天才,掌握了三次方程的解法。另一位博學但好賭的醫生 卡丹(Gerolamo Cardano),為了得到這個祕密,向塔塔利亞發下重誓:「如果我洩漏你的解法,願上帝用閃電劈死我。」
然而,卡丹在 1545 年的著作《大術》中直接公開了這個公式。儘管他提到了塔塔利亞,但這份榮耀最終被冠上了「卡丹」之名。這組美妙的公式,也成了數學史上最著名的「贓物」。
2. 核心邏輯:如何對三次方程進行「降維打擊」?
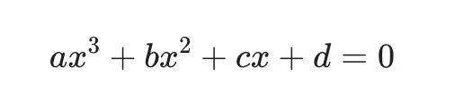
一般的完整三次方程形式如下:

但卡丹發現,只要透過代換 x = y - b/3a,就能消去二次項,將問題簡化為「缺項三次方程」:

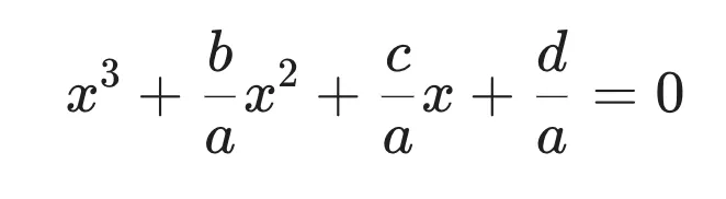
為了方便計算,我們先將原方程式除以首項係數a(假設a≠0):

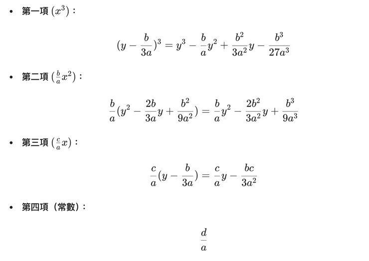
令x=y- b/3a。 我們將這個代換式分別計算出x2與x3的展開項:

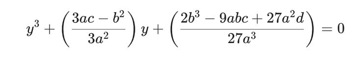
整理後相加變成:

建議你拿張白紙自己推導一下,透過手寫過程來記憶,增強數感。
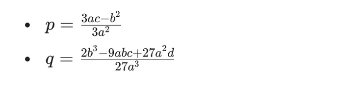
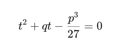
因此,在y3+py+q=0的形式中:

3. 數學家的創意解法:一步步推導
這也是整篇文章最精華的部分,我們將見證如何把一個複雜的三次問題,轉化為我們熟悉的二次方程。
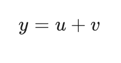
第一步:大膽假設
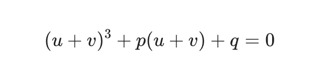
假設y是由兩個變數u與v相加而成的:

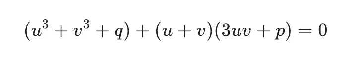
將其帶入原式:

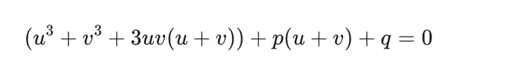
利用和立方公式展開:

整理後得到:

第二步:聯立方程
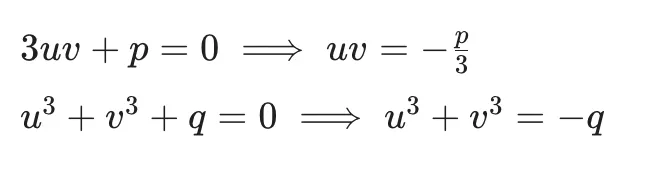
為了讓等式恆成立,我們令兩個括號內的數值均為0:

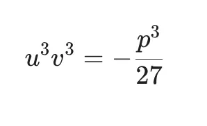
接著,我們將第 1 式兩邊同時立方:

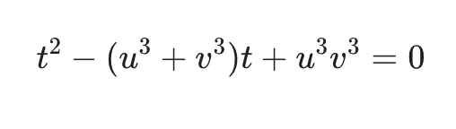
第三步:韋達定理的突破
現在我們已知u3與v3的「和」與「積」,根據韋達定理,它們必定是以下二次方程的兩個根:

將我們算出的數值代入:

第四步:最終組合
利用二次方程求根公式,求得t(即u3與v3):

既然 y = u + v = ∛u3+ ∛v3,我們終於得到了震撼世人的 卡丹公式:

4. 為什麼這很重要?虛數是通往真實的「蟲洞」
卡丹公式的偉大之處,不在於讓我們多背一個複雜的公式,而是它強迫人類承認了 「虛數 i」 的存在。
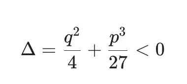
在解二次方程時,如果判別式小於0,我們會說「無實數解」然後收工;但在三次方程中,情況變得非常詭異。當判別式:

這時,公式內部會出現負數開根號(例如√-121)。按照當時的邏輯,這應該是個「不存在的錯誤」。
但神奇的地方來了:如果你硬著頭皮把這個「不存在的數字」代入公式,利用複數運算規則繼續算下去,最後這些虛數項竟然會互相抵消,噴出一個實實在在、完全沒有i的實數解!
我們來解一個看起來很簡單的三次方程:

如果你直覺夠好,隨便代入幾個數字,你會發現當 y = 4 時:

賓果!答案就是4。但在 16 世紀,數學家們想要的是「萬用公式」。
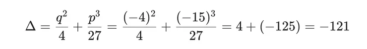
於是我們代入卡丹公式,其中 p = -15, q = -4:

糟糕!根號裡面出現了負數:√-121。在當時,這被認為是「不可能的數字(虛數)」,公式會變成:

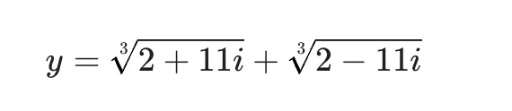
也就是:

這就是不可約情形:明明答案是清清楚楚的實數4,公式卻強迫我們進入鬼魅般的虛數世界。
5. 邦貝利的豪賭:虛數是真實的橋樑
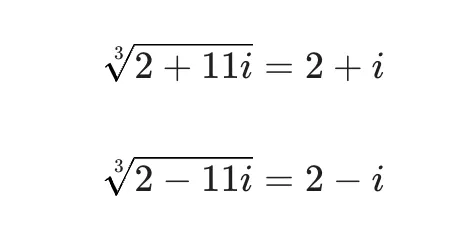
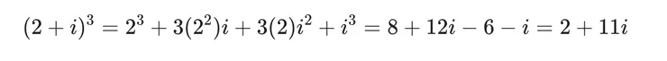
1572 年,數學家邦貝利(Rafael Bombelli)大膽假設:如果公式沒錯,那麼這兩個立方根相加後,虛數部分一定會互相抵消。
他透過代數技巧推導出:

我們來驗算一下(2+i)3:

所以最終結果是:

虛數i就像一條隱形的蟲洞,它在運算中途出現,最後卻消失得無影無蹤,帶領我們回到了實數的彼岸。
好啦!今天的數學講解就到這了,麻煩各位點讚、訂閱+分享喔!也歡迎大家在下面留言!


















