今天來介紹一個合作賽局中的重要範例:市場遊戲 Market Game
舉例與模型建構
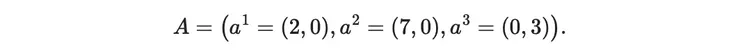
考慮一個服裝市場,每套完整服裝需包含一件上衣與一條褲子。市場上有三位賣家,他們各自擁有的初始資源如下:
- 賣家 1:擁有 2 件上衣,但沒有褲子
- 賣家 2:擁有 7 件上衣,但沒有褲子
- 賣家 3:擁有 3 條褲子,但沒有上衣
單獨而言,因為賣家只持有部分商品,無法獨立組成任何一套完整服裝(完整服裝需要同時具備上衣與褲子)。然而,若這三位賣家形成聯盟,共同將各自的資源整合,則聯盟的總資源為

在這樣的情況下,聯盟最多可以組成

這個例子展示了合作如何將個體資源的不足互補起來,從而使聯盟達到更高的總效用。
數學模型
市場遊戲在抽象的數學語言中可以描述為一個四元組:

其中 N 是指所有的玩家,或者說交易者(trader)
第二個元素

是指商品空間
第三個元素

其中

是指交易者 i 在一開始所擁有的商品數量,以及初始資源分配。
第四個元素

其中

是交易者 i 的效用函數。
剛剛的例子在這個數學模型裡面
玩家集合就是 N = {1, 2, 3}
商品空間

初始分配:

效用函數:對每個玩家都是

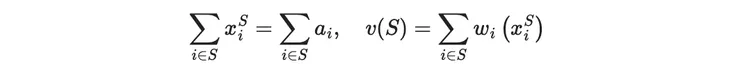
對於聯盟 S=N,可行分配 x = (x1, x2, x3) 需滿足

因此,聯盟 N 中通過合作能夠組成的完整服裝數為

故 v(N) = 3
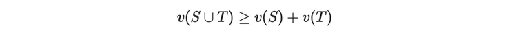
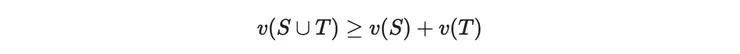
市場遊戲是超可加
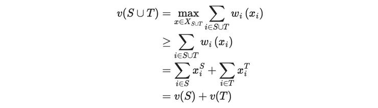
市場遊戲的一個重要性質是超可加性,即對於任意兩個不相交的聯盟 S 與 T,有

對各自聯盟選取最優分配
對於這兩個聯盟 S 與 T 分別存在最優分配

使得

與

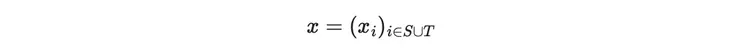
構造聯合分配
現在定義聯盟 S ∪ T 的分配為

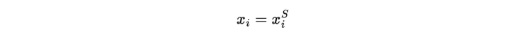
對於 i ∈ S,令

對於 i ∈ T,令

於是

總效用比較
根據市場遊戲的定義

於是證明完畢。
Takeaway
合作提升效用:單一賣家由於資源不全(僅有上衣或褲子)無法組成完整服裝,但通過合作可將各自的資源互補,從而形成完整服裝,提高總效用。
數學模型刻畫合作:市場遊戲被形式化為四元組

其中玩家集合、商品空間、初始資源分配及效用函數共同描述了合作賽局的核心結構。
聯盟價值函數:對於任一聯盟 S,其價值函數 v(S) 表示該聯盟通過資源重新分配所能達到的最大總效用,展示了合作的潛在利益。
超可加性:市場遊戲具有超可加性,即對於任意不相交的聯盟 S 與 T

這一性質強調了聯盟合併能產生協同效應,促進更大的合作。
Reference
Peleg, Bezalel, and Peter Sudhölter. _Introduction to the theory of cooperative games_. Vol. 34. Springer Science & Business Media, 2007.



















