電荷 (charge) 和 電流 (current)
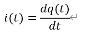
電流 i(t) 定義為單位時間內電荷的變化量,電流可以類比成水流,而電荷就像水粒子一顆顆流動。

- 安培 (Ampere, A) 是電流的單位。
- 1 安培 = 1 庫侖/秒 (1C/s)。
- 1 庫侖大約等於 6.24 × 1018 個電子的電荷量。
- 電流流動代表正電荷的移動。實際上電子是負電荷,移動方向和電流定義方向相反,但在工程與物理上習慣用「正電荷移動方向」定義電流。
- 直流電 (DC, Direct Current) 只會往一個方向流動,它可以是恆定的(大小不變),也可以是隨時間變化的(只要方向不變)。
- 交流電 (AC, Alternating Current) 是方向隨時間改變的電流。


電壓(Voltage)
電壓表示每單位電荷所具有(或獲得)的能量。

假設有兩點 a 和 b,如果一庫侖電荷從 a 移到 b 時獲得或失去 1 焦耳的能量,那麼兩點之間的電壓差就是 1 伏特。
- 帶電粒子運動時會產生能量轉移,若電荷從 a 移到 b 獲得能量 → b 的電壓比 a 高。
- 反之,若電荷從 a 移到 b 失去能量 → b 的電壓比 a 低。
能量 (Energy)

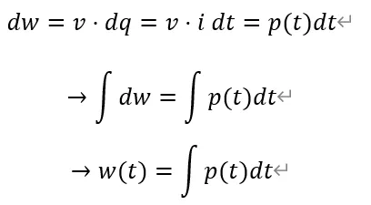
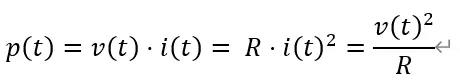
上面式子中,p(t) = v(t)·i(t),稱作功率,而能量是功率隨時間的累積。
- Passive Sign Convention (PSC,被動符號規定),這是一個用來判斷「元件吸收能量還是釋放能量」的規則。
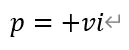
- 若電流進入元件的正端 (+terminal):

→ 元件 吸收功率 (absorbing power),例子:電阻、電燈泡,電能轉成熱或光。
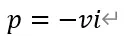
- 若電流進入元件的負端 (–terminal):

→ 元件 提供功率 (supplying power),例子:電池、發電機,釋放能量給外部電路。
歐姆定律 (Ohm' s Law)
電阻兩端的電壓與流過的電流成正比,即:

電阻 R: 反映材料阻礙電流流動的能力,其單位為歐姆 (Ω),歐姆定律是電壓和電流保持在線性範圍內時有效的近似值:

與電阻相對,導納G: 電阻的倒數,其單位為西門子:

現在我們再看回即時功率,我們知道 p(t) = v(t)·i(t),繼續推導可以得出:




















