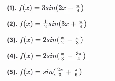
求三角函數(三)

更新 發佈閱讀 1 分鐘
vocus|新世代的創作平台
vocus|新世代的創作平台
vocus|新世代的創作平台
vocus|新世代的創作平台
vocus|新世代的創作平台



解答:

vocus|新世代的創作平台



留言
avatar-img
WilliamP的沙龍
16會員
621內容數
歡迎來到 WilliamP 的沙龍天地,在這裡將與各位讀者探討各種主題,包刮高中數學題庫、PHP開發經驗、LINE聊天機器人開發經驗、書摘筆記等,歡迎交流!
WilliamP的沙龍的其他內容
2025/12/28
高中數學主題練習—求三角函數
Thumbnail
2025/12/28
高中數學主題練習—求三角函數
Thumbnail
2025/12/28
高中數學主題練習—求三角函數
Thumbnail
2025/12/28
高中數學主題練習—求三角函數
Thumbnail
2025/12/27
高中數學主題練習—循環小數化分數
Thumbnail
2025/12/27
高中數學主題練習—循環小數化分數
Thumbnail
看更多
你可能也想看
Thumbnail
前言 在YT上常看到求解幾何問題的影片,我最先想到的多半是高中數學的工具,因為鄙人在高中比在國中教學更久。繼續把影片看下去,許多油挑伯(Youtuber)用的是古典幾何方法,國中數學層級。古典幾何常用的解題工具包括全等、相似、比例線段、畢氏定理等;而高中數學裡,解決幾何問題的工具多了方程式、三角函
Thumbnail
前言 在YT上常看到求解幾何問題的影片,我最先想到的多半是高中數學的工具,因為鄙人在高中比在國中教學更久。繼續把影片看下去,許多油挑伯(Youtuber)用的是古典幾何方法,國中數學層級。古典幾何常用的解題工具包括全等、相似、比例線段、畢氏定理等;而高中數學裡,解決幾何問題的工具多了方程式、三角函
Thumbnail
《轉轉生》(Re:INCARNATION)為奈及利亞編舞家庫德斯.奧尼奎庫與 Q 舞團創作的當代舞蹈作品,結合拉各斯街頭節奏、Afrobeat/Afrobeats、以及約魯巴宇宙觀的非線性時間,建構出關於輪迴的「誕生—死亡—重生」儀式結構。本文將從約魯巴哲學概念出發,解析其去殖民的身體政治。
Thumbnail
《轉轉生》(Re:INCARNATION)為奈及利亞編舞家庫德斯.奧尼奎庫與 Q 舞團創作的當代舞蹈作品,結合拉各斯街頭節奏、Afrobeat/Afrobeats、以及約魯巴宇宙觀的非線性時間,建構出關於輪迴的「誕生—死亡—重生」儀式結構。本文將從約魯巴哲學概念出發,解析其去殖民的身體政治。
Thumbnail
大家常常說,比特幣每四年會減半、總量有 2100 萬個,但是礦工每天都在挖,那比特幣減半的時間和它的總量是怎麼算出來的呢? 其實,只要利用高中的數學就可以算出來囉!我們一起來看看吧!
Thumbnail
大家常常說,比特幣每四年會減半、總量有 2100 萬個,但是礦工每天都在挖,那比特幣減半的時間和它的總量是怎麼算出來的呢? 其實,只要利用高中的數學就可以算出來囉!我們一起來看看吧!
Thumbnail
這幾天剛好看到 V 神介紹有關平方支付的文章,他基於平方投票法的概念,提出了平方募資法的概念,冬冬發現有平方募資法有些部分可以用高中數學就可以解釋了,因此想針對這個內容進行一些探討。前面會簡單的介紹各種概念,比較沒有數學的內容,相關的數學證明會放在最後,有興趣的朋友可以看看哦!
Thumbnail
這幾天剛好看到 V 神介紹有關平方支付的文章,他基於平方投票法的概念,提出了平方募資法的概念,冬冬發現有平方募資法有些部分可以用高中數學就可以解釋了,因此想針對這個內容進行一些探討。前面會簡單的介紹各種概念,比較沒有數學的內容,相關的數學證明會放在最後,有興趣的朋友可以看看哦!
Thumbnail
題目: 如圖一,已知∠BCA=15°, ∠BAC=30°, D是AC邊的中點, 求∠BDA=? 醞釀:該從何下手?如果感覺茫然,就睜大眼睛看圖吧,看不出所以然,改瞇瞇眼也行。瞄著瞄著,有沒有發現△BCD與△ACB長得有點像?但「像」不能解決數學問題,「相似」才可以;不過
Thumbnail
題目: 如圖一,已知∠BCA=15°, ∠BAC=30°, D是AC邊的中點, 求∠BDA=? 醞釀:該從何下手?如果感覺茫然,就睜大眼睛看圖吧,看不出所以然,改瞇瞇眼也行。瞄著瞄著,有沒有發現△BCD與△ACB長得有點像?但「像」不能解決數學問題,「相似」才可以;不過
Thumbnail
本篇求解的題目也是在YT找到的,算是上一篇《舊業重溫12--有內角平分線的直角三角形求面積》的續篇,同樣分別提供國中的古典幾何和高中的三角函數解法。 本題跟上一篇都是求三角形面積,所不同者,本題並非直角三角形,但有一個值得注意的角度, 45°,這是國中、高中數學都重視的特殊角度。
Thumbnail
本篇求解的題目也是在YT找到的,算是上一篇《舊業重溫12--有內角平分線的直角三角形求面積》的續篇,同樣分別提供國中的古典幾何和高中的三角函數解法。 本題跟上一篇都是求三角形面積,所不同者,本題並非直角三角形,但有一個值得注意的角度, 45°,這是國中、高中數學都重視的特殊角度。
Thumbnail
在AI浪潮下,009819 中信美國數據中心及電力ETF 直接卡位算力與電力雙主軸,等於掌握AI最核心基建。2008從 Apple Inc. 與 iPhone 帶動供應鏈,到如今AI崛起,主線已由應用端轉向底層。AI發展離不開算力與電力支撐,009819的價值,在於押中「沒有它不行」的核心資產。
Thumbnail
在AI浪潮下,009819 中信美國數據中心及電力ETF 直接卡位算力與電力雙主軸,等於掌握AI最核心基建。2008從 Apple Inc. 與 iPhone 帶動供應鏈,到如今AI崛起,主線已由應用端轉向底層。AI發展離不開算力與電力支撐,009819的價值,在於押中「沒有它不行」的核心資產。
Thumbnail
這是一場修復文化與重建精神的儀式,觀眾不需要完全看懂《遊林驚夢:巧遇Hagay》,但你能感受心與土地團聚的渴望,也不急著在此處釐清或定義什麼,但你的在場感受,就是一條線索,關於如何找著自己的路徑、自己的聲音。
Thumbnail
這是一場修復文化與重建精神的儀式,觀眾不需要完全看懂《遊林驚夢:巧遇Hagay》,但你能感受心與土地團聚的渴望,也不急著在此處釐清或定義什麼,但你的在場感受,就是一條線索,關於如何找著自己的路徑、自己的聲音。
Thumbnail
本文分析導演巴里・柯斯基(Barrie Kosky)如何運用極簡的舞臺配置,將布萊希特(Bertolt Brecht)的「疏離效果」轉化為視覺奇觀與黑色幽默,探討《三便士歌劇》在當代劇場中的新詮釋,並藉由舞臺、燈光、服裝、音樂等多方面,分析該作如何在保留批判核心的同時,觸及觀眾的觀看位置與人性幽微。
Thumbnail
本文分析導演巴里・柯斯基(Barrie Kosky)如何運用極簡的舞臺配置,將布萊希特(Bertolt Brecht)的「疏離效果」轉化為視覺奇觀與黑色幽默,探討《三便士歌劇》在當代劇場中的新詮釋,並藉由舞臺、燈光、服裝、音樂等多方面,分析該作如何在保留批判核心的同時,觸及觀眾的觀看位置與人性幽微。
Thumbnail
今天接續上次的主題,如何改進做題時講不到解法的進步方式。解法問題是大多數同學遇到的困難,而且學測範圍很大,筆者提出兩個解決方案:歸納做法、一題多解。
Thumbnail
今天接續上次的主題,如何改進做題時講不到解法的進步方式。解法問題是大多數同學遇到的困難,而且學測範圍很大,筆者提出兩個解決方案:歸納做法、一題多解。
追蹤感興趣的內容從 Google News 追蹤更多 vocus 的最新精選內容追蹤 Google News