一、什麼是 Hill Cipher?
Hill Cipher 是 1929 年由Lester S. Hill 發明的。
它是第一個把:
線性代數(矩陣)
引入古典密碼
的系統。
二、核心公式
把字母轉成數字:

選一個 n×n 可逆矩陣 K。
加密公式:

其中:
- P = 明文向量
- K = 密鑰矩陣
- C = 密文向量
三、為什麼我們會有 (24,18)、(0,5)、(25,23)?
假定明文是:
YSAFZX轉數字:
Y = 24,
S = 18,
A = 0,
F = 5,
Z = 25,
X = 23
因為我們做的是:
2×2 Hill Cipher
所以每兩個字母分一組:
(24,18)
(0,5)
(25,23)
這些就是明文向量 P。
四、實際運算示範(完整一次)
我們的密鑰矩陣:

例 1:加密 (24,18)

模 26:
108 mod 26 = 4
42 mod 26 = 16
得到:

轉字母:
E Q
例 2:加密 (0,5)

得到:
K F
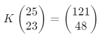
例 3:加密 (25,23)

模 26:
121 mod 26 = 17
48 mod 26 = 22
得到:
R W
🎯 最終結果
YSAFZX → EQKFRW
五、為什麼必須可逆?
因為解密要用:

如果:

和 26 不互質,
就無法求逆矩陣。
這就是為什麼我們選:

六、幾何意義
Hill Cipher 本質是:
把 2D 整數格做線性變換

原本是正方格,
經矩陣後變成斜格。
這其實就是:
小型格變換
七、為什麼它比凱撒強?
凱撒是:
1 維位移
Hill 是:
多維線性混合
頻率被打散。
八、弱點
若攻擊者知道:
- 至少 n 組明文–密文對
就可以解出矩陣 K。
所以:
Hill Cipher 在現代是不安全的。
九、抽象層
Hill Cipher 是:
群論 → 模運算 → 線性代數 → 格幾何
你剛剛看到的:
(24,18)、(0,5)、(25,23)
其實就是:
字母被嵌入到 2 維整數格
這就是它的數學本質。






















