賽局的結果
延續上篇的合資購物
我們延續上篇的合資購物舉例:三位同學 A, B, C 分別擁有 30, 60, 50 元,想要購買一個 90 元的裝置。
姑且不論「能不能真的買到」,這三位同學的結盟狀況從集合論的觀點來說,只會有以下五種狀況:
1.

意思是三個同學都不互相合資
2.

意思是 A 與 B 合資,C 不參與
(以下狀況以此類推)
3.

4.

5.

意思是三位一起合資購買。此狀況也稱為全體聯盟(grand coalition)。
這五種「聯盟結構」呈現出三位同學的不同合作組合,是合作賽局理論關心的核心問題之一:最終會形成哪一種結盟?
不僅如此,我們還要探究「若有足夠錢買下裝置,該如何分配購買後的效用(效益)?」。以下列出幾種可能的效用分配:
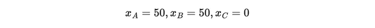
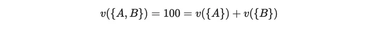
{A B} 聯盟可以買到裝置,得到 100 的總效用,於是按人平均分配,三位分別會得到以下的效用:

C 不會得到任何效用,因為他根本沒有參與出資
{B, C} 聯盟也可以買到裝置,按人平均分配的話

{A, B, C} 全體聯盟也可以買到裝置,按人平均分配的話

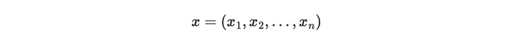
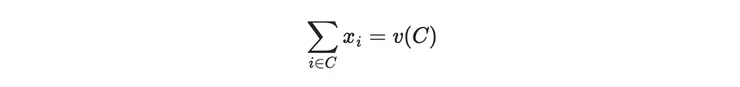
在此,每個聯盟內的成員能獲得多少效用,就可以用一個「收益分配向量(payoff vector)」

來表示。
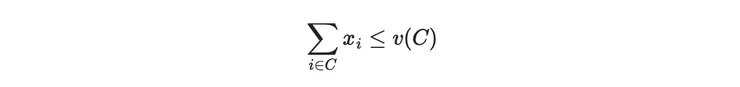
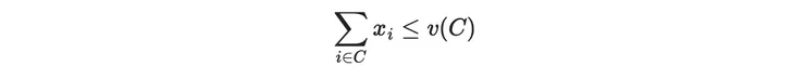
而這個收益分配向量,在最終的聯盟結構下(即,大家形成聯盟時),每個聯盟中的人員所分配到的效益總和,應該小於等於該聯盟在特徵函數下所收到的效用 v(C)

這很合理,不然就憑空產生效用了。
數學的定義
給定一個賽局 G = (N, v) 後,我們主要觀察兩件事情:
一、結盟的狀況(聯盟結構)
玩家能依自身利益衝突與合作潛力,組成各種聯盟(coalitions),由此產生不同的合作組合。像是全體聯盟(grand coalition)、部分聯盟或各自為政,都可能帶來截然不同的結果。
這個聯盟結構在數學上記做 CS ,我們將玩家集合 N 劃分成彼此不重疊的子集合集合(partition),也就是說

其中 C_i 都是在這個合作賽局下形成的聯盟。需要滿足

每一個玩家都需要在某個聯盟,就算是一人聯盟,以及

一個玩家不可以同時屬於兩個聯盟。
二、收益分配向量
假設最後真能形成某些聯盟 C,那該聯盟能夠獲得特徵函數 v(C) 所決定的價值。關鍵問題便是如何將該聯盟所產生的總價值合理分配給成員。
我們以「收益分配向量(payoff vector)」

表示各玩家所獲得的報酬大小,其需要滿足可行性條件:在形成的聯盟結構中,對於任意的聯盟 C

也就是整體分配不超出該聯盟所能創造的價值。
當等號成立時(對每個在 CS 中的聯盟 C)

我們說這個分配是有(組成式)效率的(Component Efficient),沒有因分配不當而浪費或損失效用。
如何設計出「既能讓各成員覺得划算」又「保持聯盟穩定」的分配方案,一直是合作賽局探討的核心議題。
常見的三個合作賽局類型
下列三種賽局特性,能幫助我們理解不同合作情境中的「聯盟合併效果」與「分配議題」:
1. 加性賽局(Additive Game)
2. 超加性賽局(Superadditive Game)
3. 次加性賽局(Subadditive Game)
透過分析這些特性,可以初步判斷聯盟的行為,例如「聯盟是否該繼續擴大」、「是否會傾向於被拆散」、或是「結不結盟根本沒差」。
加性賽局(Additive Game)
定義:給定一個遊戲 (N, v) ,若對於任意兩個無交集的聯盟 C 與 D ,特徵函數滿足

則稱此賽局「加性」。意思是若兩個聯盟合併,合併後的總效益剛好等於他們原先各自的效益總和,沒有多餘的「合作增益」或「沖突損失」。
對於加性賽局,「合作或不合作」在 效益面 並不會出現增減,因為兩邊的價值可以完美地「直接相加」。
舉例:合資購買東西,但是是買「水」(可分割的物件)
假設 A B C 要來買水,分別擁有 30, 70, 20 元,而一公升的水一元。因為水可以分割,多少錢就可以買多少水,因此(把能買到多少水當作效用)

而你很快也發現到

他們當然可以合作,但是「合作或不合作」在 效益面 並不會出現超額的增加,因為兩邊的價值可以完美地「直接相加」。
此種賽局其實很無聊,因為沒有超額的效用需要被分配,所以我們幾乎也不用再討論什麼。
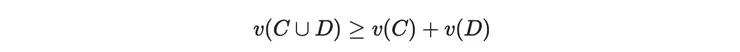
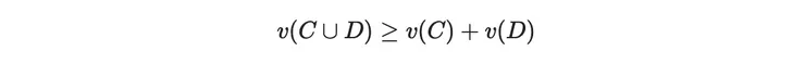
超加性賽局(Superadditive Game)
定義:給定一個遊戲 (N, v) ,若對於任意兩個無交集的聯盟 C 與 D ,特徵函數滿足

則賽局具有「超加性(superadditivity)」。代表兩個聯盟合併後,整體價值不會比各自分開時小,多半存在「協同效益(synergy)」。
在超加性賽局裡,大聯盟往往能創造更高的綜效。此時,玩家可能更傾向於合併到大聯盟,以共享更高收益。
常見於策略聯盟、企業併購、研究團隊合流等情境,只要合併就能提升效率或產生新價值。
舉例:假設有兩個玩家(或組織) A 與 B,他們想合作開發一項新產品。透過市調可得知:
單獨行動

玩家 A 若獨立行動,能賣出 30 的收益,玩家 B 若獨立行動,能賣出 20 的收益。(可以想像是單打獨鬥的市場營收)
合作時,若 A 與 B 合作,把各自技術和客戶資源整合,則市場規模能擴大,並減少重複開發成本,最終可以達到

則「合作後」的收益顯著增加(多了 5 的協同效益)。
雙方合作後可能共享銷售管道、品牌影響力,並且在研究成本上分攤,導致市場潛力及利潤都高於原本單獨作戰的總合。這種現象就是超加性:大聯盟(或合作)比單獨行動更能創造價值。
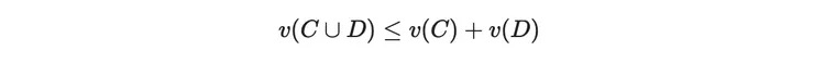
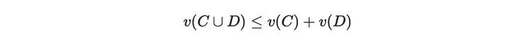
次加性賽局(Subadditive Game)
定義:給定一個遊戲 (N, v) ,若對於任意兩個無交集的聯盟 C 與 D ,特徵函數滿足

則賽局具有「次加性」。意味著兩個聯盟合併後,總效益不見得能超越各自分開時的總和,可能出現「負面衝突」或「效率損失」。
在次加性賽局裡,合併並不能帶來額外好處,反而易造成管理成本、資源重疊或市場內耗。
玩家合併意願通常較低,有時甚至會避免組成大聯盟,因為「合作」導致的掣肘或衝突反而損害整體利益。
舉例(結婚):
想像有兩個旅遊小團體 A 與 B,各自想出遊放鬆,並打算以「享受程度」作為他們的效用(value)。設定如下:
分頭出遊

團體 A 自行租一間小公寓度假,能獲得 40 的享受度(環境清幽、隱私高)。團體 B 也獨立租一處民宿,有 30 的享受度(空間雖較小,但很自在)。
若 A 和 B 決定聯手,想說「人多好玩」,一次包棟更大的度假屋,理論上享受應該「相加」。但實際上:
人多嘈雜,放鬆感下降;
使用廚房、衛浴的時間常衝突;
興趣、作息不同也產生摩擦。
這些因素讓合併後的實際享受度只有 60。

對照分頭出遊的總合:

這就顯示:

是典型的次加性:合在一起並沒有比分開來得愜意或更高的效用,反而因衝突與擁擠,讓總享受度下滑。
在這個度假情境中,「人多不一定好玩」,有些團體合併後會因生活習慣、隱私需求、空間分配等問題造成負面效果。這種「1 + 1 < 2」的狀況,即體現了次加性的概念:合作反而損耗或壓縮了效用。
整理與比較
給定一個遊戲 (N, v) ,若對於任意兩個無交集的聯盟 C 與 D ,特徵函數滿足

則稱為加性賽局。若對於任意兩個無交集的聯盟 C 與 D ,特徵函數滿足

則稱為超加性賽局。若對於任意兩個無交集的聯盟 C 與 D ,特徵函數滿足

則稱為次加性賽局。
在加性賽局中,結不結盟根本沒差,反正大家的效益都可以加起來
在次加性賽局中,因為玩家結盟會導致效益變低,聯盟結構往往傾向於各自為政。
在超加性賽局中,因為玩家結盟總是會增加效益,聯盟結構往往傾向於結成全體聯盟(grand coalition)。
我們可以透過判斷此賽局是否有以上三者的特性,初步判斷此賽局的最終聯盟結構。
在超加性賽局中形成的大聯盟雖然能產生最高總效益,但如何『公平且穩定』地分配這些收益,才是能否實現合作的關鍵。接下來,我們將帶大家進入 Shapley Value 的世界,一窺其中奧秘。
Takeaway
合作賽局的結果:主要關心 聯盟結構(Coalition Structure)以及效益分配向量(payoff vector)
加性賽局、超加性賽局、次加性賽局:
加性賽局: 1 + 1 = 2 ,合不合做隨便你
超加性賽局: 1 + 1 > 2 ,合作永遠更好,所以大家往往結成全體聯盟
次加性賽局: 1 + 1 < 2 ,合作不會更好,所以大家往往各自為政。
Reference
Branzei, Rodica, Dinko Dimitrov, and Stef Tijs. _Models in cooperative game theory_. Vol. 556. Springer Science & Business Media, 2008.
Chalkiadakis, Georgios, Edith Elkind, and Michael Wooldridge. _Computational aspects of cooperative game theory_. Morgan & Claypool Publishers, 2011.
封面圖片:https://www.google.com/url?sa=i&url=https%3A%2F%2Fudn.com%2Fnews%2Fstory%2F7327%2F7994824&psig=AOvVaw15bfY1nQwj6Sh2u6lUj_GY&ust=1739353837005000&source=images&cd=vfe&opi=89978449&ved=0CBQQjRxqFwoTCPDtyJCsu4sDFQAAAAAdAAAAABAJ


















