更多賽局的核心 Core
回顧核心 Core 的定義
假設賽局 N = {1, 2, ..., n} 是超可加且最後形成全體聯盟
考慮一個效益分配向量 payoff vector

若此效益分配向量滿足以下兩件事
1. 效率性原則

2. 對於所有的(次)聯盟 S ⊆ N, 要滿足

則我們說此效益分配向量是屬於 Core ,或者說滿足穩定性。
我們今天來看兩個例子,看看他們 Core 的結構
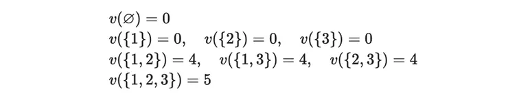
沒有核心的賽局
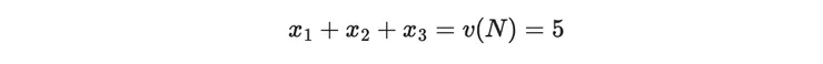
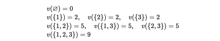
假設 N = {1, 2, 3}

因為大聯盟收益大於任意雙人聯盟,所以此賽局有可能最後結果為全體聯盟,在這個狀況下我們想要找到一個穩定的效益分配向量。
如同上篇文章所提及,這可以被寫成一個線性規劃問題
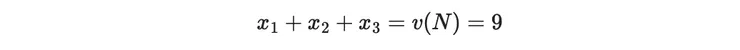
假設欲求的效益分配向量為

效率性條件要求

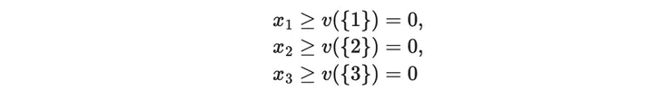
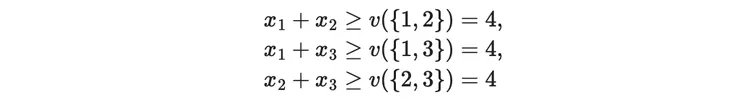
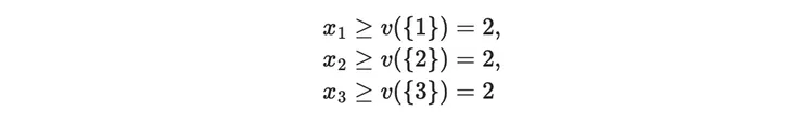
穩定性條件要求
單人聯盟:

雙人聯盟:

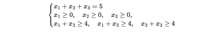
將全部條件整理後可以得到

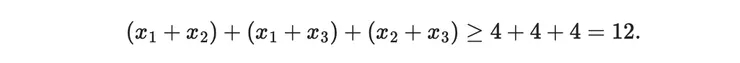
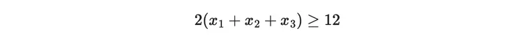
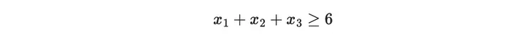
但是注意到,根據最後三條不等式的加總,我們得到

也就是

約分得到

可是此線性系統的第一條(效率性要求)告訴我們

矛盾!
因此我們知道在核心裡面的 x 所需要滿足的系統

是無解的,結論出這個賽局沒有穩定分配的方式,核心 Core 是空的
一些觀察:
三人結盟雖然比兩人結盟多得一點的效益,但這額外的一點不足以同時不常所有可能的雙人聯盟。如果任意兩人的組合都能拿到 4,為了避免他們私下結盟分走 4,你必須讓該兩人在大聯盟中的總分配不低於 4。可是總財富只有 5,三組(1,2)、(2,3)、(1,3)都要給到 4,算起來就要求至少 6 點,無法達成。
核心是否存在的關鍵是 v(N) 要足夠大(夠有利)到可以「堵住」所有小聯盟的潛在收益。不然就會像這個例子一樣,雖然大聯盟可以產生更高的效益,卻無法找到穩定非配方案。
核心很多的賽局
假設 N = {1, 2, 3}

一樣我們來用線性規劃解出核心 Core
效率性條件要求

穩定性條件要求
單人聯盟:

雙人聯盟:

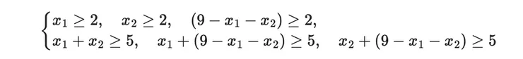
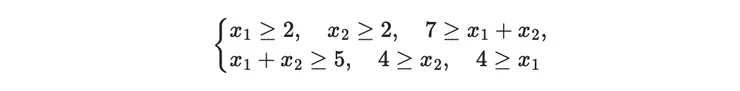
將全部條件整理後可以得到

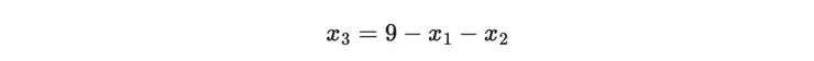
我們將 x3 做代換,然後用 sagemath 來畫圖

我們的不等式系統變成

化簡後得到

因此我們在 sage 的命令行介面輸入以下指令
var('x1 x2')
# 列出所有不等式
ineqs = [
x1 >= 2,
x1 <= 4,
x2 >= 2,
x2 <= 4,
x1 + x2 >= 5,
x1 + x2 <= 7
]
# 使用 region_plot 繪出同時滿足這些不等式的區域
p = region_plot(
ineqs, # 不等式列表
(x1, 0, 6), # x1 繪圖範圍
(x2, 0, 6), # x2 繪圖範圍
incol='lightblue', # 填充顏色
bordercol='blue', # 邊界顏色
alpha=0.5 # 透明度
)
# 加上一些標記、座標軸名稱
p += text("Feasible Core", (3, 5), color='black', fontsize=12)
p.axes_labels(['x1','x2'])
p.show()
於是可以得到

藍色區域裡面的每一點都是滿足穩定性跟效率性的解,這個賽局的 Core 有無限多個效益分配向量。
凸性賽局(Convex Game)
在前面的兩個範例中,我們看到了「核心(Core)可能是空的」以及「核心可能是一整塊(具有體積)的多面體」。如果站在實務應用的角度,我們多半希望核心能夠存在、而且越大越好,因為那代表有多種方式能滿足穩定性,不會讓玩家們分裂。
這就引出凸性賽局(Convex Game)的概念:在某些情境下,賽局的特徵函數能保證邊際貢獻(marginal contribution)呈現一種「遞增」的特性,使得全體聯盟更有機會產生「足以安撫每個次聯盟」的總收益。換言之,當賽局「越凸」,核心就越容易存在
直覺解釋
所謂凸性,可用「邊際貢獻遞增」來理解:
- 一位玩家加入較大規模的聯盟時,不會產生比加入較小聯盟更低的收益增量,甚至可能更高。換句話說,聯盟規模越大,新成員的貢獻並不被稀釋,反而能帶來更多整合效益。
- 因為大聯盟能創造更充裕的總收益,它更有能力把這些收益分配到各個成員,於是更容易符合「對每個次聯盟都不虧」的穩定條件。下面我們就會證明說,凸賽局必定會有非空的核心 Core
數學定義
對任意 T ⊆ S ⊆ N 以及任何不在 S 裡的玩家 i

也就是說,當玩家 i 加入較大的聯盟 S 所帶來的邊際貢獻,不會小於他加入較小聯盟 T 時的貢獻
讀者如果有閱讀過相關的課本,應該比較容易看到另一種使用超模(supermodular)的定義:對於任意的聯盟 C 與 D

這兩種定義是等價的;第一種關注「玩家對大小不同聯盟的邊際貢獻」,第二種關注「兩個聯盟的合併與交集」。兩者都是凸性的核心概念,在合作賽局中隨處可見。我們會在隔天用複雜的數學來證明兩者等價。
凸性賽局必定會有穩定的分配(核心非空)
我們現在來證明,如果一個賽局是凸的,則必定可以找到核心裡面的效益分配向量,也就是找得到一個穩定的分配方式。
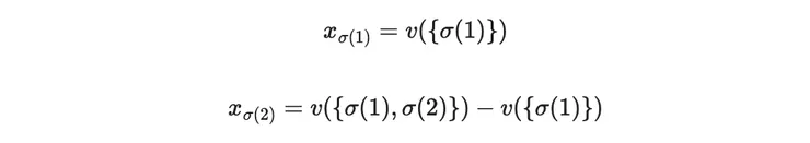
要證明這件事呢,我們只要找出一個穩定分配的方式就可以了,而這件事也不難,我們隨便使用一個排序

然後用邊際貢獻的方式來分配效益

以此類推

而這些 x_i 就會是一個符合穩定性的效益分配向量。
首先,他有滿足效率性

穩定性就比較難證明:
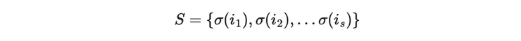
令 S 為一個 N 下的聯盟,裡頭有 s 個玩家,我們可以把它寫成

因為他一定有出現在上面的 sigma 排序裡面。
所以我們要來關心在 S 裡的成員所分配到的效益是否大於等於 v(S)。
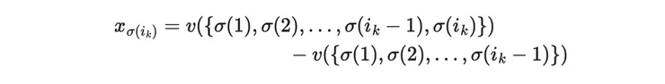
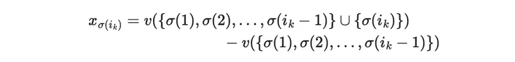
好的,根據上面的分配方式,這些成員會得到

這可以寫為

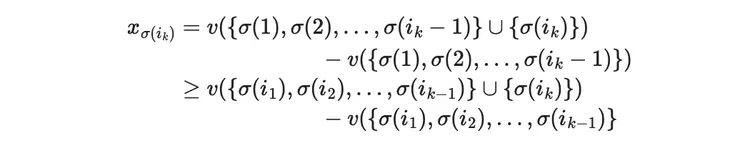
除此之外我們注意到

所以根據凸賽局的定義,我們可以寫出

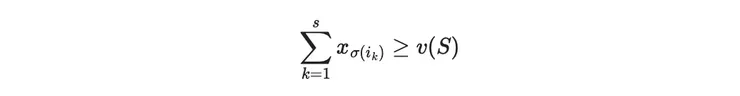
於是我們知道

於是我們知道

因此滿足穩定性條件,證明完畢
Takeaway
- 核心在一般遊戲中可能是空的,也可能是一個多面體。
- 「大聯盟收益是否足以補償各種次聯盟」是核心存在與否的關鍵。
- 凸性遊戲(Convex Game)因為「邊際貢獻遞增」,能保證核心一定非空。
- 建構邊際貢獻向量是凸性遊戲核心非空的經典證明方法。
Reference
Chalkiadakis, Georgios, Edith Elkind, and Michael Wooldridge. _Computational aspects of cooperative game theory_. Morgan & Claypool Publishers, 2011.




















