上次我們提到了三種常見的賽局,分別是加性賽局、超加性賽局與次加性賽局。其中我們也分析了這三種賽局中的結盟傾向:
- 加性賽局:要不要合作並無太大差異,因為效用可以完美疊加。
- 超加性賽局:合作總比不合作好,所以最後容易形成全體聯盟
- 次加性賽局:單打獨鬥反而比合作好,所以不易出現聯盟。
在一個超加性賽局中,如果所有成員最終通力合作,就會形成「全體聯盟 (Grand Coalition)」。此時,我們獲得的總效用 v(N) 要如何在各玩家之間做分配?本篇要介紹一種廣受重視的分配方法:Shapley Value。
Shapley Value :基於邊際貢獻的分配方式
我們從一個假想的超加性賽局出發:
假設有三個專業人士 A, B, C ,各自擁有不同的能力與資源。
單打獨鬥時,因為條件不具備或投入不足,無法產出任何效用:

若兩人組隊,會有一定程度的專業互補與成本分攤,所以能創造些許價值,但幅度有限:

然而,當 三位專業人士全部合作(全體聯盟)時,能夠把彼此專長完全結合,達成更大規模或更深層次的專案,產生 10 的總價值:

你可以透過窮舉法很快驗證出此合作賽局屬於超加性賽局,也就是合作比不合作好。
前面提到,當三位專業人士 A,B,C 全部合作時能創造 10 的高額價值;而兩兩合作時只能創造 3 或 4;單打獨鬥更是 0。因此,一旦合作賽局確立了「一起上」最有利,那麼該如何將這 10 的總效用分配給三人,才算「合理」與「公平」?
先來後到的問題
假設我們只看「誰最後加入使得效用增量最高」,就可能出現某些人一毛都拿不到的極端狀況。例如:
首先我們關心以下兩個效用值的話

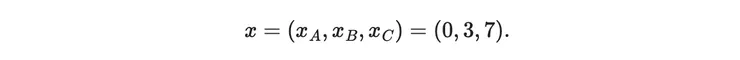
那好像可以做出結論:因為 C 的加入,所以我們這個團隊的效用增加了 7 單位,根據「逆向的使用者付費原則」,我們應該給 C 分配 7 點的 payoff。同理,

好像可以做出結論:因為 B 的加入,所以我們這個團隊的效用增加了 3 點,而因此我們應該給 B 分配 3 點。最終可以寫出

此時 A 沒分到半毛,他於是很生氣的說「你這個按照進場順序分配根本不公平!如果要這樣算的話,那我以後都最後加入!大家以後都最後加入!」這個發言很有道理,考慮這兩個效用值

你可以做出結論:因為 A 的加入,所以這個團隊的效用增加了 6 點,所以你應該要給 A 分配 6 點的效用,而不是零點。
你發現了一個問題,這種根據「邊際貢獻」的分配方式會根據先來後到而產生非常大的不同,進而造成不公平。結論就是:僅以單一路徑或單一增量,去判斷某人「究竟貢獻多少」 往往會失真。
怎麼辦呢?Shapley 先生說了:「那就把所有先來後到的順序都考慮一遍,然後取個平均吧!」
Shapley 先生的建議:「把所有先來後到順序都考慮一遍,然後取平均」
A, B, C 三人,有六種先來後到的順序:

(這好像六個平行宇宙)
在第一個順序中: (A,B,C) 代表 A 最早來,C 最晚來
- A 的邊際貢獻:v({A}) − v(∅) = 0 − 0
- B 的邊際貢獻:v({A,B}) − v({A}) = 3 − 0 = 3
- C 的邊際貢獻:v({A,B,C}) − v({A,B}) = 10 − 3 = 7
在第二個順序中:(A, C, B)
- A 的邊際貢獻:v({A}) − v(∅) = 0 = 0
- C 的邊際貢獻:v({A,C}) − v({A}) = 3 − 0 = 3
- B 的邊際貢獻:v({A,B,C}) − v({A,C}) = 10 − 3 = 7
在第三個順序中: (B, A, C)
- B 的邊際貢獻: v({B}) - v(∅) = 0 - 0 = 0
- A 的邊際貢獻: v({A,B}) - v({B}) = 3 - 0 = 3
- C 的邊際貢獻: v({A,B,C}) - v({A,B}) = 10 - 3 = 7
在第四個順序中:(B, C, A)
- B 的邊際貢獻: v({B}) - v(∅) = 0 - 0 = 0
- C 的邊際貢獻: v({B,C}) - v({B}) = 4 - 0 = 4
- A 的邊際貢獻: v({A,B,C}) - v({B,C}) = 10 - 4 = 6
在第五個順序中:(C, A, B)
- C 的邊際貢獻: v({C}) - v(∅) = 0 - 0 = 0
- A 的邊際貢獻: v({A,C}) - v({C}) = 3 - 0 = 3
- B 的邊際貢獻: v({A,B,C}) - v({A,C}) = 10 - 3 = 7
在第六個順序中:(C, B, A)
- C 的邊際貢獻: v({C}) - v(∅) = 0 - 0 = 0
- B 的邊際貢獻: v({B,C}) - v({C}) = 4 - 0 = 4
- A 的邊際貢獻: v({A,B,C}) - v({B,C}) = 10 - 4 = 6
接下來,針對每位玩家分別把邊際貢獻加總後除以 3! = 6:
- A 的 Shapley Value
- 在六種排列中的貢獻分別為 0,0,3,6,3,6,總和 =18,平均為 18/6=3。
- B 的 Shapley Value
- 在六種排列中的貢獻分別為 3,7,0,0,7,4,總和 =21,平均為 21/6=3.5。
- C 的 Shapley Value
- 在六種排列中的貢獻分別為7,3,7,4,0,0,總和 =21,平均為 21/6=3.5。
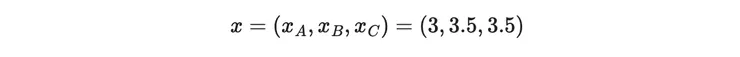
於是最終的效益分配向量可以寫為:

此時三人的分配和正好是 10,完全符合「全體聯盟」的效用,也符合每位玩家在各種可能加入順序中的「平均邊際貢獻」。
簡而言之,Shapley Value 解決了「單一加入順序不公平」的問題,藉由「考慮全部可能順序」再求平均,讓結果更能反映所有人各自的貢獻。
數學上的 Shapley Value 定義
假設有一個合作賽局 G = (N, v) 滿足超可加性,其中 N 中有 n 位成員,而且最後形成全體聯盟(grand coalition)。現在要把總效益 v(N) 分配給 N 中的每個成員:
如同我們剛剛看到的: Shapley Value(夏普利值) 提供了一個經典且被廣泛接受的解法。它的核心思想是:每位玩家最終得到的效用,等於他在「各種可能進場順序」中,對整體聯盟帶來的「邊際貢獻」的平均值。
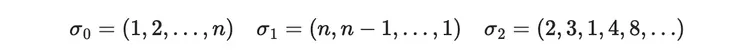
我們通常會用以下符號來代表一個進場順序:

例如

分別代表「照順序進場」、「全員反過來進場」以及「某個亂序進場(就看括號裡面數字怎麼排)」。
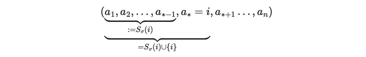
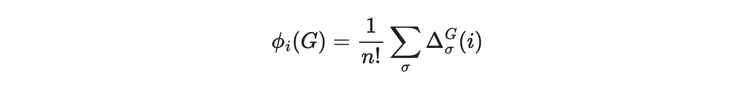
再給定了一個進場順序 (a_1, a_2,..., a_n) 下,成員 i 的邊際貢獻是這樣計算的:


於是成員 i 在此順序下的邊際貢獻就是

接著,我們就對每個先後順序都計算成員 i 在該順序下的邊際貢獻,取平均即可

其中的求和符號要讓 sigma 跑遍所有可能的先後順序,因為成員有 n 為,所以總共有 n! 個邊際貢獻需要計算。此 phi_i (G) 即為成員 i 的 Shapley value。
針對每個成員 i 都計算其 Shapley value 就可以得到在全體聯盟下,最後的效益分配向量:

小結與預告
本文先透過排列式定義,直觀詮釋何謂「平均邊際貢獻」。在後續內容中,將會介紹另一種常見的子集合加權公式

以及說明這兩種看似不同的計算方式,為何能得到相同結果。
之後我們也會更深入地探討 Shapley Value 的一些性質(效率、對稱性、Dummy Player gets nothing 以及可加性),並理解它為何是唯一同時滿足這些條件的解。
Takeaway
- 在超加性賽局中,若全體聯盟能帶來最大效用,就必須面對「如何分配」的核心問題。
- Shapley value 的基本精神為:每位玩家最終得到的效用,等於他在「各種可能進場順序」中,對整體聯盟帶來的「邊際貢獻」的平均值。
Reference
Chalkiadakis, Georgios, Edith Elkind, and Michael Wooldridge. _Computational aspects of cooperative game theory_. Morgan & Claypool Publishers, 2011.
封面縮圖:https://www.chinatimes.com/realtimenews/20200917005156-260408?chdtv


















