前導
在本章節,較會著重在定義與性質,練習題的部分會放在之後的章節。
不定積分
不定積分也就是反導函數,表示為:
其中 F'(x) = f(x),C 為積分常數(任意實數)。
不定積分的公式與性質

定積分的定義
設函數 f(x) 在區間 [a, b] 上連續,將此區間分割成 n 個小區間:

令每個小區間

的長度為

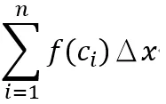
並在每個小區間內任取一點

則曲線下的面積可近似為:

若近似值趨近真實面積,此極限定義為定積分:

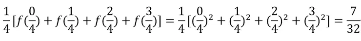
我們以一個例子來看

好,你可能還不是很懂,我們再舉一個例子,並搭配圖例:
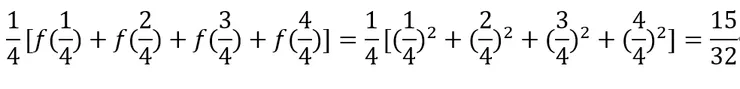
我們想要求 f(x) = x^2 在 [0, 1] 區間中的面積,如下圖:

我們將 [0, 1] 區間平分成 4 等分,每段寬度為1/4,利用長條矩形的面積總和來估算面積:
- 左和(或者稱上和,即上矩形的面積總和)

面積計算過程如下:

- 右和(或者稱下和,即下矩形的面積總和)

面積計算過程如下:

好,而真正的面積其實就介於這兩數值之間,所以,如果今天將 [0, 1] 平分成 n 等分,並使

這樣左合和右合實際上會趨近於一個數(良好的精確值)。而最後我們會將此行為稱作定積分:

定積分與面積的關係
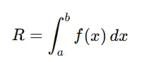
(1)一個連續且有定義的多項式函數 f(x) 在區間 [a, b] 與 x 軸圍的區域面積為 R,則:
- 當 f(x)≥0:

如圖:

此時函數圖形在 x 軸上方,所以定積分就等於面積。
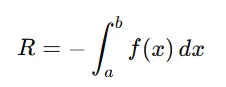
- 當 f(x)≤0:

如圖:

此時函數圖形在 x 軸下方,定積分值為負,而「面積」是正值,所以需取相反數。
- 當 f(x) 在區間內有正有負:
如圖:

此時定積分等於 R1 - R2 + R3。
也就是說:

定積分的性質

這些都是重要的性質也是解題的基石。
微積分基本定理
定積分的平均值定理

- 定積分的平均值定理保證:
在區間內,總有一點的函數值 = 整體的平均高度 - 幾何意義是:曲線下的面積 = 高 f(c) × 底長 (b−a)。
微積分第一基本定理

這個定理的核心是: 定積分與微分互為反操作,把一個函數 f(t) 積分起來形成 F(x),再對 F(x) 微分,就會回到原來的 f(x)。
幾何圖像理解:

微積分第二基本定理
很簡單,就是:

兩定理的舉例:

以上就是有關不定積分與定積分的觀念講解,希望對讀者有幫助。
本頻道持續更新中(內容涵蓋前端程式設計入門、大學必備程式設計入門、電子系專業課程入門、數學微積分題解)如果身旁有相關科系的學生,不妨推薦一下喔~
相信這裡會是家教或線上課程之外,高中、大學生系統性綜合學習的好選擇。
最後感謝您的觀看!





















